BTC/HKD-3.57%
ETH/HKD-1.25%
LTC/HKD+0.22%
ADA/HKD-0.83%
SOL/HKD-1.95%
XRP/HKD-5.71%uniswap V3一公布就引發廣泛關注。相對V2來說,邏輯和代碼都復雜一些。V3的核心是通過盤口區間提供流動性(集中式流動性),解決LP提供流動性時的資金利用率的問題。什么是資金利用率?V3如何推導區間流動性的計算公式?如何理解流動性?如何計算swap費用?本文先從V3技術白皮書詳細分析開始。
先給出一些uniswap官方有關V3的資料:
V3官方介紹
https://uniswap.org/blog/uniswap-v3/
技術白皮書
https://uniswap.org/whitepaper-v3.pdf
智能合約代碼
https://github.com/Uniswap/uniswap-v3-core
https://github.com/Uniswap/uniswap-v3-periphery
推薦先認真查看技術白皮書,再看智能合約代碼,最后再對照官方介紹。理解了技術白皮書,代碼非常容易理解。在技術白皮書的第一章總結了uniswap V3的技術特點,最核心的概念是"Concentrated Liquidity" (集中式流動性)。
資金利用率
先看看uniswap V2的資金利用率:

上圖為資金池中的x/y的量變化曲線。資金池中的當前價格在c點,并且假設會在a價格點和b價格點之間波動。從c點向a點滑動,消耗最大y_real,從c點向b點滑動,消耗最大為x_real。也就是說,當前價格c點,在a點和b點之間震蕩的話,最大只需要消耗x_real和y_real。理論上只要提供x_real和y_real就足夠了。而事實上,如上圖所示,在價格c點,分別提供了大于x_real和y_real的x和y。明顯可以看出,x-x_real和y-y_real的資金在這種情況下是永遠用不上的,也就稱為閑置資金。
UniSat Marketplace停機維護兩小時:5月14日消息,據官方消息,BRC-20 交易市場 UniSat Marketplace 于北京時間 5 月 14 日 14 時 30 分至 16 時 30 分停機維護兩小時,以執行必要的升級和修復。[2023/5/14 15:01:56]
在這種情況下,資金利用率為x_real/x或者y_real/y。如果價格波動非常小的話,資金利用率是非常低的。uniswap V3就是嘗試解決資金利用率低的問題。想法比較簡單,所有資金可以只添加到某個區間,只添加到有可能價格波動到的區間范圍。如何在某個區間添加流動性并提供swap功能是uniswap V3的重點。先從Virtual Reserves說起。
虛擬資金池(Virtual Reserves)
uniswap的交易采用的乘積固定模型(x*y=k)。所謂的虛擬資金池(Virtual Reserves),是指還在乘積固定曲線上,只提供某個區間流動性的資金池:

圖中的墨綠色的曲線就是虛擬資金池滿足的乘積固定曲線。事實上需要的資金的曲線如圖中的橘黃色。橘黃色的曲線公式如下圖:

你可以想象成虛擬資金曲線在x/y軸進行平移,使得a/b點和x/y軸重合。也就是用一定量的資金就能達到“虛擬”的交易曲線的效果。
如何計算在某個區間提供虛擬資金池,先要從深入理解流動性開始。
流動性(Liquidity - L)
AOFEX交易所USDT交易區上線PEARL、UNISWAP、ALGO、CRV:據官方消息,AOFEX交易所將于9月30日16:00開通PEARL、UNISWAP、ALGO、CRV的USDT交易對,并同步開放交易。
AOFEX數字貨幣金融衍生品交易所,旨在為用戶提供優質服務和資產安全保障。[2020/9/30]
乘積固定的交易模型,滿足資金池中的兩種代幣金額滿足:x*y = K。如果設定K=L^2的話,x*y = L^2。L就是我們說的流動性。由乘積固定的交易模型得出如下的公式:

在已知L和sqrt(P)的情況下,也能推導出資金需求量x和y。

通過公式6.6,在流動性不變的情況下(不添加刪除流動性),流動性可以看成是單位“價格波動”的y資金量的變化。”價格波動“打上引號是因為事實上是sqrt(P)的變化。

這個是uniswap V3核心公式(6.7),用相對值(資金和價格相對值)來計算流動性。所謂的流動性,就是單位“價格變化”的資金量。在一定的交易量的情況下,如果流動性好,價格變化就小,流動性不夠的話,價格波動就大。

AOFEX即將上線AVAX、UNISWAP、LINK、ATOM、ALGO、DOT、SUSHI杠桿交易:據官方消息,AOFEX交易所將于9月25日16:00正式上線AVAX、UNISWAP、LINK、ATOM、ALGO、DOT、SUSHI?杠桿交易,均支持3倍杠桿。具體開放交易對如下。
AQ交易區:AVAX、UNISWAP、LINK、ATOM、ALGO、DOT、SUSHI;USDT交易區:AVAX、LINK、DOT、SUSHI。
AOFEX數字貨幣金融衍生品交易所,旨在為用戶提供優質服務和資產安全保障。[2020/9/25]
特別注意的是,一個區間上的流動性和V2的普適的流動性不同。一個區間上的流動性,重點在“區間上”。不同區間的流動性沒有可比性。V2的流動性和區間上的流動性的區別如下圖:

V2的流動性是“普適”的,在所有價格點上流動性相同。V3的流動性是由一系列不同區間上的流動性組成。相對來說,在當前價格左右的流動性比較高。流動性提供者LP只有提供了可供交易的流動性才能獲取交易費。為了獲取更多的交易費,為了提高資金的利用率,流動性提供者會將資金提供在合理的價格波動范圍內。也就是說,在某個區間swap交易產生的手續費,只有該區間流動性提供者才能獲取手續費。為了計算每個區間獲取的手續費,引入了Tick的概念和計算方法。
Tick
在區間上提供流動性,帶來很多復雜的情況:區間和區間的重疊覆蓋。因為不同區間的流動性沒有可比性,某個交易費并不能混入到流動資金中,等刪除流動性時候一并提取。為了解決這個問題,uniswap V3引入了Tick的概念。交易費用實時結算并單獨記錄,并不混入流動資金中。雖然整個區間和區間的流動性沒有可比性,但是,在具體的某個價格點上(一個價格片上),流動性是可比較的。uniswap V3將整個價格范圍(負無窮到正無窮)分成一個個的Tick(價格點):
美國國稅局或對UNI空投用戶收取總計1.08億美元稅金:在美國,Uniswap的UNI代幣申領人必須就獲取免費空投代幣收入繳納所得稅,美國Uniswap用戶可能平均需要從空投收益中向美國國稅局支付200-300美元所得稅,具體取決于用戶所獲取的代幣數量。在分發的10億枚UNI代幣中,15%將會提供給流動性提供者、用戶、以及SOCKS贖回者/持有者。如果以3美元的代幣價格計算,Uniswap本次空投可能為用戶帶來4.5億美元「免費資金」,如果每個接受者都居住在美國,那么如果按照24%的平均所得稅稅率計算,美國國稅局最高可能會收取總計1.08億美元的稅金。不過美國所得稅的百分比是根據個人總收入計算得出的,適用的稅率從10%到37%不等,這意味著從Uniswap索取的UNI代幣對應的法定貨幣金額將決定會被收取多少稅金。另外,根據美國稅法,年收入在5萬美元左右的個人需要按照22%所得稅比例征收稅金,如果按照這種情況計算的話,拿到UNI代幣的用戶至少需要準備好200-300美元向美國國稅局支付稅金,具體取決于UNI申請時的價格。(cryptobriefing)[2020/9/19]

后一個價格點的價格是前一個價格點價格基礎上浮動萬分之一。

每個Tick也有一個唯一的序號。區間(Position)可以由兩個Tick表示。邏輯上交易手續費可以一個個的Tick計算,并在每一個Tick上根據流動性的占比進行交易分配。先看看一個Tick范圍的swap的計算。
動態 | 英國萊斯特足球俱樂部與FansUnite Entertainment Inc.合作 通過區塊鏈技術提高球隊勝率:據Icfc消息,英國萊斯特足球俱樂部近日與區塊鏈技術平臺FansUnite Entertainment Inc.達成協議,后者將通過區塊鏈技術為前者的數據做出更精確的統計,以提高球隊的勝率。[2018/8/24]
Tick內的SWAP
假設有一個很小的量的y,需要swap為x。通過6.13的公式,可以計算出因為y的變化導致的價格變化。

再利用6.15的公式可以算出換取的x的量。

uniswap V3針對同樣的交易對設置了不同的交易費:0.05%,0.3%以及1% (還可以添加其他費率)。如果是從Y換取X,則在換取之前先扣除手續費再進行上述的交換。
在同一交易池中只支持一種費率。也就是說,在一個交易池中支持不同的價格區間,但是都是同樣的費率。如果需要添加同樣交易對的不同交易費的交易池,必須創建新的交易池。
接下來,深入講解一下 添加/刪除流動性以及交易費用的計算邏輯。
V3的添加/刪除流動性是當前價格情況下在某個區間添加或者刪除流動性。所有的流動性添加/刪除流動性采用如下的公式:

注意,價格變化并不是指區間的大小,而是在某個區間上提供流動性,相對當前價格,“需要相應資金變化”對應的價格變化。
分為三種情況,想要添加的流動性區間和當前價格的關系。
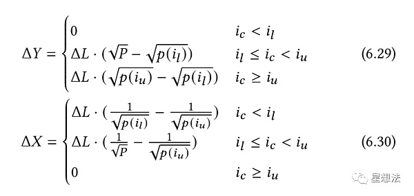
當前價格處于流動性價格區間 (il <= ic < iu)

因為價格在區間范圍內,如果價格滑動到il,則需要提供y資金。如果價格滑動到iu,則需要提供相應的x資金。所以,對于delta_Y來說的,價格變化為sqrt(P) - sqrt(p(il));對于delta_X來說,價格變化為1/sqrt(P) - 1/sqrt(p(iu))。
當前價格低于流動性價格區間

因為當前價格遠低于il,即使從當前價格向iu滑動,也只需要x的資金,不需要y的資金。所以,在這種情況下,delta_Y = 0。因為從il滑向iu需要整個區間的x的資金,對于delta_X來說,價格變化為1/sqrt(il) - 1/sqrt(p(iu))。
當前價格高于流動性價格區間
和第一種情況類似,不重復分析了。
Swap交易費用
uniswap最復雜的邏輯是計算交易費用并分配。在添加和刪除流動性之前需要將相應的交易費用提取。
Tick上的總流動性
在某個Tick上可以存在多個區間。在計算交易費用時,需要平攤這些費用給所有在這個Tick上多個區間的總的流動性。在每個區間的邊界的Tick上記錄下delta_L(所有以這個Tick為邊界的區間的流動性總和)。
存在一個全局狀態:liquidity,保存當前價格對應Tick的流動性總和。當價格波動,穿過某個Tick時,會進行流動性的增加或者減少(取決于價格波動方向)。舉例來說,價格從左到右穿過區間,當穿過區間的第一個Tick時,流動性需要增加,穿出最后一個Tick時,流動性需要減少,中間的Tick都沒有流動性的增加和減少(delta_L為0)。

區間(Position)上的交易費用率
計算一個區間上的交易費用率,采用總的費用率減去區間外的費用率的方法。在一個區間的邊界Tick上記錄feeGrowthOutside。所謂的feeGrowthOutside,就是“另外”一個方向上總的費用率。另外的一個方向是相對穿過當前Tick的方向而言。當價格從左到右穿過一個Tick,feeGrowthOutside指的是Tick左邊所有區間的費用率。簡單的說,就是價格要去方向的相反方向所有區間的費用率。feeGrowthOutside用fo表示。因為fo是一個Tick的兩個方向的總的費用率,兩個方向的費用率的總和肯定是等于fg(全局的費用率)。所以當穿過一個Tick時,這個Tick上的fo要進行翻轉:

當一個區間創建時,區間邊界上Tick的fo需要初始化:

如果當前的價格大于Tick的價格時,因為即使當前價格在設置的區間內,但是之前費用也不會分到,所以,可以簡單的假想為所有的費用發生在Tick價格之下,也就是fo=fg。如果Tick的價格大于當前價格,價格還沒有穿過Tick,因為假設了之前所有發生的費用發生在Tick價格之下,Tick之上是沒有費用的,所以fo=0。在理解了這些邏輯的基礎上,在swap的過程中,隨著價格的波動,一個區間上,超過最高Tick的費用率以及低于最低Tick的費用率可以用如下的方式計算:

以低于最低Tick的費用率的計算為例,如果ic>=i (當前的價格是高于最低Tick的),低于Tick的所有的費用率就是fo(定義如此)。如果ic<i的情況下,fo記錄的是高于Tick的所有費用率,所以需要翻轉,即fg - fo。在獲取了一個區間外的所有費用的情況下,計算本區間的費用率:

獲取的費用率的基礎上,用費用率乘以區間的流動性可以計算出該區間收取的費用。
uniswap V3版本核心思想是流動性集中。流動性提供者可以在某個區間提供流動性,提高資金使用率。在某個區間獲取的交易費,由所有在該區間的流動性提供者均分。uniswap V3設計了區間粒度-Tick,并且推導了流動性添加/刪除以及費用計算的過程。在之基礎上,uniswap V3也更新了價格預言機的實現。
《覓新》是金色財經推出的一檔區塊鏈項目觀察類項目,覆蓋行業各領域項目發展情況,具體設計到項目概況、技術進展、募資情況等,力圖為您呈現熱門新潮的項目合輯.
1900/1/1 0:00:00從被質疑、被調侃、被嘲笑,到從小眾極客群體中逐漸出圈,并讓曾經對此嗤之以鼻的華爾街巨頭們不惜推翻自我去積極擁抱,比特幣的共識正在迅速成長并擴散.
1900/1/1 0:00:00DeFi數據 1.DeFi總市值:999.52億美元 市值前十幣種排名數據來源DeFiboxDeFi總市值數據來源:Coingecko2.過去24小時去中心化交易所的交易量:30.
1900/1/1 0:00:00原文標題《數字資產交易合規與風險防控:OTC場外交易法律問題匯編》出金和入金作為數字資產交易中的重要環節,一直以來飽受「凍卡」困擾.
1900/1/1 0:00:00眾所周知,目前Defi最大的基礎生態是構建在以太坊之上的,但是以太坊的高Gas費用、延時性以及TPS限制,相當影響用戶體驗.
1900/1/1 0:00:00導一個漏洞補丁只讓協議保留了部分功能,但價格仍然存在。周三的加密市場修正給FEI項目帶來了沉重的負擔,FEI項目是一個最新嘗試創建算法的穩定幣,在面對市場動蕩方面將保持穩定.
1900/1/1 0:00:00