BTC/HKD-0.03%
ETH/HKD-1.53%
LTC/HKD+1.18%
ADA/HKD+0.96%
SOL/HKD+1.28%
XRP/HKD+0.95%前情介紹:
1.AdjustingQuadraticMechanism是由2018年Vitalik與哈佛教授共同推出的二次融資演化而來。二次融資是一個為了解決公共項目融資困難的一種新的融資機制,其中對于一個有p個公共產品,N個社區成員的社群來說,第p個公共產品收到的投資等于每個投資者的投資額的平方根之和的平方,其收益則是下列公式組成:

QF有幾個特點:
1)收益遞增。參與投資的人數越多,獲得的收益越多
2)邊際收益遞減。隨著人數增多,單位收益的增量變小。
歐洲央行Fabio Panetta:加密貨幣已成為投機資產,以及規避資本管制的手段:金色財經報道,歐洲中央銀行(ECB)董事會成員Fabio Panetta在第22屆國際清算銀行年會上關于加密貨幣未來的小組上表示,加密貨幣的核心承諾是用技術取代信任,認為“代碼就是法律”的概念將允許自我監管系統的出現,不受人為判斷和錯誤的影響。這反過來又使得貨幣和金融可以在沒有可信中介的情況下運作。然而,這種敘述常常混淆現實。無支持的加密貨幣并沒有侵入貨幣的傳統角色。他們逐漸偏離了最初的去中心化目標,轉而越來越依賴中心化的解決方案和市場結構。它們已成為投機資產,以及規避資本管制、制裁或金融監管的手段。[2023/6/25 21:58:23]
3)針對公共產品,非排他性、非競爭性。
Axia8 Ventures宣布人事變動,新增Zoe Peng等三位新General Partner:2月27日消息,Axia8 Ventures 公布近期重要人事更新,具體如下:Zoe Peng 提升為 Axia8 Ventures 的 General Partner,未來將帶領項目投前、后,以及深度項目孵化,協助 portfolio 項目賦能與增長;
Kira Su 加入 Axia8 Ventures 作為 General Partner,將主力負責 Axia8 的資產管理、風險控制、以及二級市場;
Jessica Tian 加入 Axia8 Ventures 作為 General Partner,將主導泛亞洲地區商務拓展,并重點管理項目投后資源整合,落實 Axia8 和項目之間的共生共長的創業精神。
據介紹,Axia8 Ventures 由 Wayne Lin 于 2020 創立,管理至今已經近三年。[2023/2/27 12:31:59]
4)無法解決過度串謀、或者一人分飾多角的問題,既女巫攻擊。
Bithumb實控人因涉嫌貪污及瀆職被捕:2月2日消息,韓國首爾南部地方法院負責拘捕令的部長以涉嫌貪污、瀆職為由拘捕 Bithumb 實控人姜鐘鉉(音譯),表示其有逃跑和毀滅證據的可能,此外被認為是姜某親信的非上市相關公司代表趙某也一同被拘留。(韓聯社)[2023/2/2 11:42:27]
總結:因此對于公共產品融資,通過二次融資方式可以產生對社會最優的投資規模以及產生最優的投資收益,但這只是一個理想社會下,人人都處于理智的狀態,但真正情況卻有可能發展成多人串謀,甚至一人分飾多角“薅羊毛”的情況。
2.由于上述二次融資潛在的問題,Vitalik配合靈魂綁定代幣的特性,提出了適應二次機制,致力于解決過度串謀、或一人分飾多角而造成的利益分配不均的問題。
Coinbase首席法務官:法律不會迫使礦工或任何其他人監控或審查交易:9月5日消息,Coinbase首席法務官paulgrewal.eth 發推特表示,我認為(美國)法律非常明確:沒有任何事情會迫使礦工、質押者或律師中的任何其他人監控或審查交易。
其中法律規定不能與受制裁的個人“交易”,必須“封鎖”美國人“擁有”或“控制”的財產,但這并不是指在底層生成區塊的方式,礦工或其他人“促進”的只是交易記錄。[2022/9/5 13:08:58]
1)這并不是一刀切,而是會在仍然給與一定獎勵的情況下,削弱合作的力度。
2)通過檢查靈魂所持有的SBT的相關性,可以區分出highlycorrelated,affiliated,甚至colluded靈魂們
Web3游戲工作室CLUB完成310萬美元種子輪融資,Zee Prime Capital領投:金色財經消息,Web3游戲工作室CLUB宣布完成310萬美元種子輪融資,Zee Prime Capital領投,ATKA、Merit Circle、CitizenX、Moonlanding Ventures、Petrock Capital以及幾位專注于GameFi、足球和媒體的知名天使投資人參投。CLUB計劃利用新融資進一步開發其首款游戲,包括構建市場,建立社區,并擴大其團隊。與社區的游戲開發將在2022年第三季度開始。
CLUB正在開發P2E足球游戲“CLUB Game”,旨在引入Web3數字所有權來增強游戲體驗。該游戲目前處于早期測試階段,目前已有超過25000名注冊用戶。CLUB計劃在整個2022/23年擴大測試。(Alexa Blockchain)[2022/7/16 2:16:57]
機制介紹:AdjustingQuadraticFunding/Voting
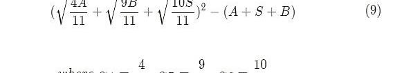
SimpleMatch:我們先從最簡單的邏輯出發,假設項目p有Abdu、Shou、Belle三名投資人,分別對項目p做出了A、S、B量的貢獻,在SBT的驗證下,三名投資人分別沒有鉤稽關系。則:
在A、S、B互無關系,互相獨立的情況下。用QuadraticFunding的方式可以簡單計算Abdu、Shou、Belle分別對應的融資收益、或者votingpower。且可以看出項目p所獲得的matchingfund與A、S、B的數量成正比。

SingleMembership:進一步思考,如果Abdu、Shou、Belle之間有兩位成員有合作關系,如Abdu和Shou,則Vitalik提供了兩種優化方式:
ClusterMatch:將A和S合并在同一個根式下,可以降低Abdu與Shou的收益分成比例,增加Belle的收益分成比例,但同時也沒有完全懲戒Abdu與Shou的合作:

通過上述我們可以看出,等式將Abdu和Shou的權重被一定程度稀釋,給予了Belle與另外兩位之和相同的權重。如果Abdu和Shou是一人分飾兩角,則上述等式會將Abdu和Shou當作一個個體進行處理,達到最優解。

OffsetMatch:通過判斷Abdu和Shou的關聯程度,通過除以系數的方式給A和S減少(Offset)一定量的權重,在Abdu與Shou合作的情況下:

同樣,在Abdu和Shou在完全相同的情況下,我們可以獲得跟同樣的最優解:

MultipleMemberships:在SingleMembership的考慮中,我們過度簡化了社會中可能存在的合作關系抑或是共生關系,因此這里我們假設更加復雜的情況。Abdu和Shou存在一定社會關系,Abdu和Belle也存在關聯,同時Shou和項目p之外的某個群體有關聯。
ClusterMatch:類似于SingleMembership,我們將有關聯的兩個個體放在同一個根式下,但我們需要將每個個體的權重之和設定為1,得到如下公式:

OffsetMatch:對于OffsetMatch的方式,我們需要計算出每個人的貢獻系數,通過分析每個個體所持有SBT的相關性決定。以上述情況為例,我們假設Bella與Abdu有50%相關,同時Abdu也與Bella有50%相關;再假設Abdu和Shoud在SBT的持有上有25%相關,每個個體的權重為1,我們得到以下方程組:

通過求解我們得到最終的通過OffsetMatch求得的MathcingFund為:

總結:
通過將SBT的特殊屬性與二次融資QuadraticFunding相結合,可以在理論上有效地解決當年QF遺留下來的容易受到女巫攻擊或共謀攻擊的問題,這將在未來對DAO的投票治理,公共項目融資等事件在提升效果及效率的情況下做到盡可能的安全及合理。
來源:金色財經
閃電網絡的客戶端LND,在6月28日升級到了0.15beta版,通過公告可以發現,這是閃電網絡完成對比特幣Tarpoot支持之后更新的第一個版本,這個版本主要實現了對tarpoot的完整支持.
1900/1/1 0:00:00今日以太坊兌換人民幣的匯率為:1以太坊=7971.92人民幣根據今日匯率,1以太坊可兌換7971.92人民幣,數據僅供參考,交易時以銀行柜臺成交價為準.
1900/1/1 0:00:00最近社區也是啟動了一個項目,之前也有介紹過,就不多說了。這幾天確實比較忙,很久沒有繼續為大家輸出了,也沒有關注行情,今天休息借此機會給大家整理下最近的大事件!首先我們先來看看行情吧,相信這也是很.
1900/1/1 0:00:00據官方消息,去中心化衍生品交易平臺OpenLeverage將于今日18點開放治理代幣OLE空投申領,同時上線Gate開啟交易.
1900/1/1 0:00:00Gart格里芬元宇宙,由來自手游之都安卡拉的團隊傾力打造,目前CMC、非小號等全球知名行情平臺可查,已上線抹茶、ZT、Lank等5家交易平臺其中被頂級交易所FTX收錄,項目方核心成員KYC.
1900/1/1 0:00:00幣圈咨詢 7月8日熱點; 1.馬斯克可能放棄收購Twitter2.美聯儲理事沃勒:加密貨幣的下跌對金融系統沒有影響3.HiveBlockchain6月開采278.5個BTC,目前持有3.
1900/1/1 0:00:00