BTC/HKD-1.6%
ETH/HKD-1.05%
LTC/HKD-1.35%
ADA/HKD-3.05%
SOL/HKD-2.14%
XRP/HKD-1.88%本文將探討如何更合理地評估NFT的稀有度。稀有度得分是一種輔助手段,不同NFT項目方會給出關于某種屬性的更重要的公告,也會受到了個人主觀審美的影響。
什么是NFT的稀有度?
一般來說,NFT的稀有度包含兩個概念:特征稀有度與資產稀有度。
特征稀有度:衡量每個特征的出現頻率,即擁有該特征在此集合中的占比。例如,特征"Background_Blue"的稀有度得分是10.44%,因為ShortBearClub總數是5000只,其中有522只"Background_Blue"熊。

圖1:ShortBearClub的特征稀有度
資產稀有度:代表該項資產的總稀有度分數,可用于橫向對比與排名。單個NFT的價值通常很大程度上受到稀有度的影響。對于NFT收藏家來說,當他們在考慮購買哪種NFT時,他們希望花費相同數量的ETH帶來最大的回報,于是,稀有度成為最重要的參考指標之一。
已有的稀有度評分模型Rarity.Tools稀有度評分
Rarity.Tools是目前使用最廣的稀有度評分工具。它的核心計算方式是:將每個特征出現頻率的百分比的倒數總值相加。
通州區政府工作報告:試點和深入實施元宇宙創新發展三年行動計劃:金色財經報道,2023年北京市通州區政府工作報告提出,繼續保持千億以上投資規模,不斷優化投資結構,推動投資向高精尖產業、民生等領域傾斜,有效帶動社會投資。具體到產業方面,北京通州區將重點打造“四區三鎮三園”十大重點產業功能區。2023年將進一步豐富金融業態,建設“基金財富港”,加快打造全球財富管理中心、全球綠色金融和可持續金融中心。另外,推動金融業數字化創新與試點和深入實施元宇宙創新發展三年行動計劃。[2023/6/25 21:58:10]

圖2:rarity.tools的稀有度模型
不過,Rarity.Tools在近期調整了它的計算模型,且沒有公開披露具體細節。
Rarity.Tools是NFTSummer爆發前就有的一款NFT稀有度數據分析工具,它的優勢在于計算模型簡單易懂。用戶可以很直觀地看出哪個特征在整體稀有度分數中貢獻度更大。但是簡單加總法的缺點是可能會高估或低估一項資產的真實稀有度。例如,若某個特征或者特征數量的分數過高,會在一定程度上拉高該NFT的排名,但用戶可能對該特征并不是很關注。
韓國一議員正起草《公職人員虛擬資產隱匿防止法》:5月9日消息,韓國一位議員正在準備起草《公職人員虛擬資產隱匿防止法》,修改了《公務員道德法》和《公務員選舉法》部分內容,希望強制公職人員公開披露持有價值500萬韓元(約合3772美元)或以上的虛擬資產的詳細信息。(東亞日報)[2023/5/9 14:52:03]
NFTEXP稀有度評分
在NFTEXP的稀有度計算更為復雜,目前尚未披露。我們只能從NETEXP官網中獲得NFTEXP模型的大概思路。
以"Chubbies"項目為例,其中兩個特征的頻率如下:
臉部:Blushed,有1053個。
發型:Afro,有1110個。

圖3:"Chubbies"項目一覽(來源NFTGO.io)
從百分比上來看兩個特征的稀有度幾乎相同。但是:「Blushed」的特征稀有度評分為8,而Afro的特征稀有度評分為17。這是因為發型特征只有四種,臉部特征一共有13種。所以,一個「Blushed」的真實稀有度低于“平均臉”,而一個「Afro」的真實稀有度高于平均水平。
Prime Protocol測試網現已支持Arbitrum:金色財經報道,跨鏈DeFi借貸協議Prime Protocol測試網現已支持Arbitrum。目前PrimeProtocol測試網已支持包括Polygon、Moonbeam、Avalanche、以太坊、Fantom、BNBChain、Arbitrum等。
Prime Protocol創始人Colton Conley表示,目前沒有發行代幣,但可能會在未來某個時候上線。一旦上線,Prime計劃通過激勵措施來引導流動性,參與其主網的人可能會獲得空投或某種獎勵。[2023/2/3 11:44:44]
NFTEXP的特征稀有度考慮到了特征中類別數的影響。每個特征的出現頻率會與平均頻率進行比較,相應的調整特征評分。但NFTEXP也存在和Rarity.Tools同樣的缺點,會在下一節“異常情況對比”中詳細闡述。
更合理的稀有度評分模型
一般來說,稀有的同義詞還有特殊、獨特。一件事物是否稀有,主要取決于它與群體內其他事物的差異性。差異性越大,代表這件事物更加特殊和罕見。那么,若能量化這件事物與群體內其他事物的綜合差異,即能反映出它在群體內的稀有度。NFTGO基于這一原則,研發出一種更科學的方法來評估NFT的稀有度——基于Jaccard距離的稀有度評分方式。
Syscoin與WEconomy達成合作,并計劃明年Q1推出layer 2協議:12月22日消息,去中心化區塊鏈基礎設施平臺Syscoin與亞洲Web3孵化器WEconomy達成合作,以加速其亞洲生態系統的擴張,并計劃在2023年第一季度推出layer 2協議Rollux,Syscoin表示Rollux是第一個與EVM兼容的layer 2 ollup套件,準備在主網上線。[2022/12/22 22:00:06]
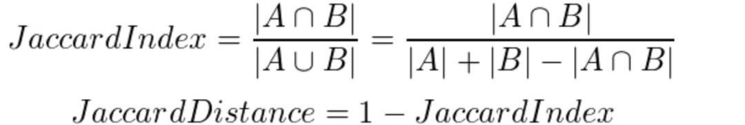
什么是Jaccard距離?
Jaccard距離是一個統計學的方法,用于測試樣本集之間的不相似性,范圍為從0到1。其數學公式為:

Jaccard距離是一種常見的數據科學測量方法,用于計算對象之間的差異性。其邏輯看起來類似于維恩圖,衡量樣本集之間的交集大小。
如何計算NFTGO稀有度評分?
NFTGO基于Jaccard距離來純粹地統計NFT特征的相似度。我們以計算BAYC#1154稀有度評分為例:
計算#1154與同系列中其他9999個NFT的Jaccard距離
ENS域名922.eth以36.9 ETH價格成交:9月19日消息,NFTGO.io數據顯示,ENS域名922.eth以近36.9 ETH(價值48703.29美元)的價格成交。該域名最近5個月在OpenSea上有4次成交記錄,另外三次成交價分別為3.55 ETH、9.22 ETH、25 ETH。[2022/9/19 7:06:38]
計算Jaccard距離的平均值,這就是稀有度分數的初始數據
使用極差法處理上一步的數據。極差法的數學公式為:

用上一步得出的z-score乘以100,即為BAYC#1154的最終稀有度分數。然后在一個集合中根據分數進行排名(稀有度分數的范圍從0到100),得到該NFT的最終稀有度排名。
NFTGO稀有度評分的優勢
通過實驗對比發現,Rarity.tools和NETEXP的稀有度評分可能會高估或低估一項NFT資產的稀有度,而NFTGO稀有度評分卻能在這些異常情況里給出比較合理的結果。
下表展示了NFTGO、Rarity.Tools和NFTEXP三種稀有度評分模型,在計算BoredApeYachtClub(BAYC)系列NFT的稀有度排名時的異常情況。

圖4:Rarity.tools針對BAYC#947的稀有度評分細節

圖5:NFTGO針對BAYC#947的稀有度評分細節
再看BAYC#2832和BAYC#8742,很明顯,BAYC#2832的評分應該更高,因為它有多樣化的特征。并且,BAYC#8742的最高報價也高于BAYC#2832,因此,購買BAYC#2832是更有利可圖的,而Rarity.tools低估了它的稀有度。

圖6:Rarity.tools針對BAYC#2832和BAYC#8742的稀有度評分細節(數據:2021年12月2日

圖7:NFTGO針對BAYC#2832的稀有度評分細節)

圖8:NFTGO針對BAYC#8742的稀有度評分細節
圖7和圖8是NFTGO對BAYC#2832和BAYC#8742的稀有度評分。從頁面右側“特征”視圖可以看到,BAYC#2832的各特征屬性基本浮動在1%-3%之間,而BAYC#8742特征屬性的最低值足有12.42。顯然,NFTGO的稀有度評分比Rarity.Tools更加合理。
此外,Rarity.Tools和NFTGO對于CryptoPunks的稀有度評分也能反映其準確性的差異。在Rarity.Toolsv2中排名前二十名的Punk,有接近一半是沒有特征的。NFTGO對此類Punk的排名更低一些,因為這些零特征的Punk缺乏多樣性,理應降低稀有度評分和排名。

圖9:Rarity.Tools中排名前21的CryptoPunk

圖10:NFTGO中排名前20的CryptoPunks

表2:CryptoPunk的稀有度排名對比(數據:2021年11月2日)
綜上,與RarityTools和NFTEXP稀有度評分相比,基于Jaccard距離的NFTGO稀有度評分是合理且準確的,您可以將其作為收藏NFT的參考。
總結
在購買或出售NFT時,稀有度得分是一種輔助手段。雖然我們使用的稀有度模型在統計學上是正確的,但是不同NFT項目方會給出關于某種屬性的更重要的公告。例如CoolCats的官方聲明,無檐小便帽或帽子這樣的普通物品比電腦頭或猿人服裝等稀有物品的價值要低。除此之外還有其他方法可以判斷NFT資產的價值,如藝術欣賞價值或流動性溢價。再者,也許您更喜歡綠色背景而不是紅色背景,這受到了個人主觀審美的影響。
基于Jaccard距離來計算一項NFT資產的群體性差異,幫助用戶發現NFT的群體性綜合差異,實際是更本質地量化了“稀有度”這一概念。您已可以在NFTGO上查看所有NFT的稀有度排名和稀有度評分,希望NFTGO稀有度評分能幫助您在購買或出售NFT時做出更合理的決策。
作者:NFTGO
來源:金色財經
作者:梁言品 日前,2021年度十大流行語出爐,“元宇宙”位列其中。所謂元宇宙,被一些人視為虛擬世界和現實世界融合的載體,潛藏著游戲、社交等場景變革的機遇。近期,“炒房熱”也刮進了元宇宙.
1900/1/1 0:00:001.金色觀察|元宇宙面面觀:機會、風險與未來日前,英國《經濟學人》網站發表題為《下一個是什么?2022年值得關注的22項新興技術》的文章,元宇宙、虛擬網紅和量子計算入圍.
1900/1/1 0:00:00歷時約兩月有余,ADAMoracle預言機生態通證ADAM幣價在2021年12月7日,首次正式突破7美元關口.
1900/1/1 0:00:00相信關心Crypto的小伙伴們最近從各類渠道,或多或少都注意到了Messari的這篇加密貨幣年度報告.
1900/1/1 0:00:00來源:BanklessDAO編譯:比推獨家ChenZouPolygon?鏈最初是以Matic為名推出的一層網絡.
1900/1/1 0:00:00作者|Leno 12月2日,知名協議BadgerDAO發生了一起DEFI安全事故,用戶總損失約為2100BTC和151ETH,約1.2億美元,是今年被盜金額最高的安全事故之一.
1900/1/1 0:00:00