BTC/HKD-3.61%
ETH/HKD-4.78%
LTC/HKD-4.33%
ADA/HKD-5.08%
SOL/HKD-6.31%
XRP/HKD-5.36%考慮到文章較長,我們分上、中、下三篇進行更新。自由激進主義:慈善配對基金的靈活設計
VitalikButerin、Zo?Hitzig和E.GlenWeyl2018年12月Glen將這篇論文獻給KwameAnthonyAppiah,他首先向介紹了自由社區主義辯論,努力協調中立性和靈活性與對社區的承諾是指導我們分析的精神。我們感謝JulianGewirtz、AtifMian、DannyErickson和EricPosner的有益評論,感謝AvitalBalwit和CharlieThompson提供的出色研究幫助。VitalikButerin:以太坊組織,http://vitalik.ca,vitalik.buterin@ethereum.org。Zo?Hitzig:哈佛大學,http://scholar.harvard.edu/hitzig,zhitzig@g.harvard.edu。E.GlenWeyl:微軟公司與普林斯頓大學,http://www.glenweyl.com,weyl@princeton.edu。摘要
我們提出了一種慈善或公共融資的設計,以允許盡可能地提供去中心化的、自組織的公共產品生態系統。該概念將二次方方投票的想法擴展到內生社區形成的籌資機制。公民為對他們有價值的項目做出公共產品貢獻。該項目收到的金額與收到的捐款平方根之和的平方相等或成比例。在“標準模型”下,這個模型首次產生最好的公共物品供給。變化可以限制成本,有助于防止勾結和協調。我們討論了競選融資、開源軟件生態系統、新聞媒體融資和城市公共項目的應用。更廣泛地,我們將我們的機制與理論聯系起來,討論這種公共物品問題的解決方案如何為仍然支持集體組織的社會提供中立和非專制的規則。§1引言
在許多情況下,擁有資本的發起者希望刺激和支持公共物品的創造,但對要創造的物品是什么卻一無所知。因此,這樣的發起人可能希望將此分配委托給去中心化的市場過程。不少案例有這樣的背景:包括競選資金、資助開源軟件。最近關于二次方方投票理論的工作表明,近乎最優的集體決策在實踐中可能是可行的,但依賴于不適合這種情況的一組固定的社區和公共產品的假設。。在本文中,我們建議將QV的邏輯擴展到這個設定。通過比較資助生態系統的兩種極端方式,可以看出我們解決的基本問題:這兩種方式都有問題。一方面,由于搭便車問題,一個簡單的私人繳費系統會導致這樣的情況:惠及許多人的公共物品供應不足。福利分配的人數越多,撥款不足的比例就越大。相反,一個純粹基于會員制或其他一些單人一票的系統無法反映各種商品對個人的重要性,并且會傾向于壓制具有重要價值的較小組織。我們的目標是創建一個與市場一樣靈活和響應迅速的系統,但避免搭便車問題。我們的解決方案是修改市場背后的融資原則,使其非線性。在標準的線性私人市場中,提供者收到的資金是資助者所做貢獻的總和。在我們的“自由激進”機制中,提供者收到的資金是資助者捐款平方根之和的平方。持有固定的捐款數額,資金因此隨著成員人數的平方而增長。然而,小額捐款得到大量補貼,而大額捐款得到的補貼最少,因為它們更像是私人物品。在標準的自私、獨立、私人價值、準線性效用框架下,我們的機制導致公共物品自組織生態系統的功利主義最優供應。此外,我們的解決方案與康德(1785)的絕對命令(康德的倫理學原則)有關:這是唯一一種激勵個人做出貢獻的機制,就好像所有其他人都做出了貢獻一樣。雖然我們的籌資原則可能看起來很奇怪,但現有的系統,例如為基礎設施項目、運動、慈善捐款和其他公共物品匹配資金,旨在獲取類似的利益,卻是以不系統的方式實現的。例如,各種公共產品是通過匹配計劃獲得資金的,機構通過這種方式將個人貢獻按1:1或其他比例匹配。例如,紐約市將小額捐款用于競選公職,捐款比例為6:1,最高175美元。許多公司使用類似規則:一位雇主匹配慈善捐款所有全職員工每年最高可達15,000美元。這樣做會使小額捐款的貢獻放大,鼓勵更多的貢獻和使潛在貢獻者具有的更大多樣性,并在決定最終資金分配時賦予個人更大程度的影響。匹配計劃不僅在公共和慈善資助中很常見,而且遵循一種直觀的邏輯,構建了各種公共政策。事實上,慈善捐款免稅的想法本身就是政府匹配的一種形式。但配套資金雖然與我們的籌資原則一樣,但缺乏系統的設計,并且以任意方式設定籌資比例和最高限額。LR機制可以被視為提供了一個連貫的設計,從經濟理論的角度來看,它在一個最優的機制中捕捉了它們的核心動機。這篇論文的寫作方式在今天是不尋常的。它結合了正式的經濟和數理邏輯、詳細的實際考慮以及圍繞我們提案的規范哲學的簡短討論。我們看到源自機制設計的形式規則,但通過哲學問題的鏡頭進行解釋,并著眼于安全和用戶界面設計,為解決大規模實際問題提供激進而現實的模板,以及新穎的社會和生活的概念可能性。我們知道,這種混合會讓我們的許多讀者迷失方向,而且并非本文的所有部分都使我們的目標受眾感興趣或易于理解。因此,我們現在提供了一個路線圖,可以幫助讀者確定將注意力集中在哪里。我們在§2中通過提供有關上述背景和動機的更多細節來開始這篇論文。然后,我們在公共物品提供的§3中開發了一個簡單但通用的數學模型,并用它來說明市場體系和1p1v的失敗。然后在§4中,我們正式描述了LR,并在數學上表明它導致最優的公共物品供給。然后,我們在§5中轉向各種變化和擴展,這些變化和擴展豐富了適用范圍和我們對LR的理解。這三個部分非常數學化,可能較適合接受過更正規培訓的讀者。進行這些工作以后,我們在§6中改變了描述一系列應用場景,關注每個案例的特殊特征以及盡管LR有點奇特的性質,但能夠匹配解決方案的定性特征,同時更順利地覆蓋更廣泛的范圍案例和問題。本部分內容廣泛,可能會使有可能應用這些想法的企業家和政策制定者最感興趣。我們以更抽象和更哲學的方式結束這篇論文。在§7中,我們概述了我們對公共物品問題的正式分析如何與自由理論中的更廣泛、更基本的問題相聯系。我們建議,LR機制可能為更廣泛的我們鋪平道路,我們將這一哲學植根于自由主義思想的歷史并突出其許多先例。§8最后討論了未來研究的方向和對未來治理的影響。§2背景
V神:NFT的發展讓我吃驚:金色財經報道,以太坊創始人V神在推特中做你問我答節目,在回答以太坊核心開發者、MyCrypto創始人兼首席執行官Taylor Monahan像V神提問:“以太坊哪個應用最讓你吃驚?”V神表示,NFT。[2021/9/2 22:54:12]
2.1公共物品問題經濟學中最基本的問題之一被稱為“搭便車”、“集體行動”或“公共物品”問題。我們將使用“公共物品”一詞。所有這些都是指個人可以或確實從共享資源和投資中獲得收益的情況,這些收益可能比他們個人對這些共享資源做出的貢獻更有價值,由于共享資源的費用或效率低下而無法有效定價。包括個人無法訪問。雖然經濟學家有時使用公共物品一詞來指代一個特別極端的情況,但我們對更廣泛的活動感興趣。“公共物品”是指任何回報遞增的活動,即為該活動收取的社會有效價格顯著低于創造該物品的平均成本。從更廣泛的角度來看,公共物品是文明的核心,除非整體大于部分之和,否則文明不可能存在。從Romer的工作開始,當代經濟思想越來越強調收益遞增,尤其是通過對創新和知識的投資,對發展的核心作用。正如關于集聚和空間經濟學的爆炸性文獻所強調的那樣,真正創造了中產階級和公民觀念的城市不可能存在,而沒有增加回報。然而,盡管具有這種中心地位,古典資本主義對此類活動的處理卻很糟糕。因為每個人,如果自私地行事,只考慮個體得到的好處,而不是所有其他人的好處,資金值不會隨著個人的數量而增加受益人是可取的。由于公共物品在現代資本主義中無處不在,因此出現了一系列機構來解決這個問題。最規范的,也許是最重要的,是當代民主的民族國家。這些國家使用稅收和基于投票的治理系統來確定應該提供多少和哪些公共產品。解決公共物品的另一種最流行的方法是通過實施允許個人被排除在外的技術將它們轉化為私人物品。最后一種機制是利用道德、文化、宗教或社會動機來誘使個人為公共物品的慈善提供者做出貢獻。一些中間機構混合了這三種理想類型的元素。一個例子是具有一定排除能力的地方政府,公民可以以一定的成本轉移并對其有一定的忠誠度。另一個例子是一個排他性但不以盈利為目的的俱樂部。不幸的是,所有這些機制都有相當嚴重的局限性。1p1v民主制度響應多數人的意愿,而不一定響應能夠創造最大整體價值的東西。他們經常壓迫少數群體或被少數群體顛覆,以避免這種壓迫。它們的設置成本也非常高、僵化并且不容易適應不同級別和新級別組織的需求。私人基于排除的努力雖然更靈活,實施起來通常很麻煩且成本高昂,但往往缺乏有效的反饋機制來確保它們為其成員的利益服務,而且也許最重要的是,將潛在用戶排除在外的效率低下。慈善組織通常比其他任何一種形式都更具響應性和靈活性,但所依賴的動機似乎很難與相對較小的團體之外的公共利益緊密結合,而這些團體通常非常有效。在這些群體之外,他們往往被地位動機和狹隘的、甚至排斥的利益所吸引。2.2文獻Clarke(1971)和Groves(1973)重鑄了Vickrey(1961)的見解,提出了集體行動問題的解決方案,以一種相當復雜的機制的形式,讓個人向政府或其他信息交換機構透露他們對公共物品的偏好,以克服多數規則的僵化和低效。不幸的是,這個系統非常容易串通,而且對于參與者來說風險很大,大多數分析師認為這種方式不切實際。然而,最近出現了用于近乎最優的集體決策的更實用的機制。Groves和Ledyard(1977)以及Hylland和Zeckhauser(1979)都提出了確定連續公共物品募資值的二次方方機制,但他們的方法要么需要一個集中的迭代過程,要么在很大程度上依賴于一個不切實際的完整信息假設。然而,集體選擇的二次方方定價的基本見解在Weyl關于他所謂的“二次方方投票購買”的提議中重新出現。特別是,他建議允許個人購買選票,支付他們購買的選票的平方。他認為,并且Lalley和Weyl(2018)嚴格證明,在標準假設下,在大量人口中,這會導致關于公共物品的近似最優決策。各種工作已將這一想法擴展到類似這樣的程序的近似效率的論據,這些程序被廣泛稱為二次方方投票,在一系列其他設置下,并表明它們可能遠遠超出簡單的二元投票。Posner和Weyl(2017)調查了這項工作。然而,雖然QV解決了標準1p1v投票系統對于給定的一組決策和集體的低效率問題,但它并沒有解決靈活性問題。也就是說,它不允許公共物品的集合從一個社會中有機地出現,而是有效地假設了一個先前指定的組織結構,該組織結構必須被視為假設或由權威強加。在本文中,我們嘗試擴展圍繞QV的想法以解決此限制。§3模型
V神:比特幣最初打算成為P2P現金 其次是數字黃金:Blockstream員工ZackVoell昨日在推特聲稱比特幣曾經是,現在是而且永遠是數字黃金。以太坊聯合創始人VitalikButerin回復稱這種說法自2011年以來就發生了變化,他稱:“我在2011年加入了比特幣,我記得當時清晰的氛圍,比特幣首先是P2P現金,其次是數字黃金”。Buterin認為,比特幣最初是打算成為點對點電子現金的,這一觀點得到了許多人的認同,并得到了2008年中本聰的比特幣白皮書標題的支持。由于比特幣開發者拒絕增加區塊大小以擴大鏈上規模,導致了高昂的交易費用,Buterin接受BTC高額費用的現實,并建議既然數字黃金用例已經建立,人們應該簡單地為其他用例使用不同的加密貨幣:“這是一個有爭議的支點,對此感到不滿是合理的,如果你不喜歡它,你應該使用其他區塊鏈,它們的社區表達著不同的價值觀。”(Cointelegraph)[2020/4/2]
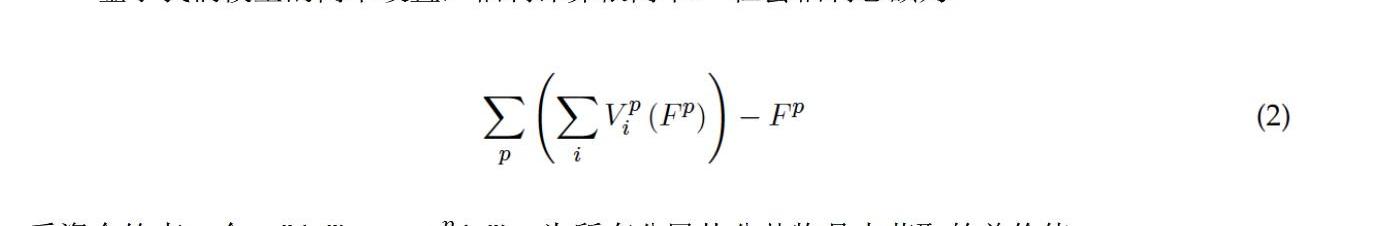
我們為社會選擇資助哪些公共產品開發了一個靈活的模型。考慮一個由N個公民組成的社會i=1,...N;在接下來的內容中,我們假設我們可以可驗證地區分和識別這些公民,盡管我們將討論他們可能串通的可能性。我們使用術語“社會”來指代所有參與者的集合,使用“社區”一詞來指代為特定公共物品提供資金的團體;然而,在許多應用中,相關的“社會”本身就是一個更廣泛環境中的社區。存在一組潛在的公共物品P。我們不對這個集合的性質做任何假設。特別是,公共物品的集合沒有必要在外部或預先指定;任何公民都可以隨時提出新的公共物品。我們表示一個典型的公共物品p∈P。3.1個人偏好與行為如果公共物品p的資金值是Fp,設Vip(Fp)是公民i收到的貨幣等價效用。我們假設所有公共物品都為公民產生獨立的價值,并且公民具有以貨幣單位計價的準線性效用。我們還假設了一個完整信息的設置,盡管考慮到問題的靈活設置,我們的結果并不嚴重依賴于這個假設。我們還從關于可觀察性和貢獻時間的問題中抽象出來。我們在這里的興趣是最大化美元等值的價值,而不是實現價值的公平分配。為了簡化下面的分析,我們假設所有函數V都是凹的、平滑的和遞增的。如果沒有這些假設,可能會出現一些復雜情況,但是對于目前更容易從它們中抽象出來的主要論點來說,這些都很次要。
聲音 | V神:ERC20標準需要修改 分片不會破壞Defi的可組合性:V神發文表示:分片不會破壞Defi的可組合性。ERC20標準需要修改。令牌將能夠存在于所有分片上,并且可以像ETH一樣從一個分片無縫移動到另一個分片。這可以通過收據來完成,就像ETH從一個分片移動到另一個分片一樣,我們可以將令牌從一個分片移動到另一個分片。這里沒有困難。[2019/10/10]

3.2募資機制

3.3福利與最優性


3.4次優機制我們現在考慮兩種次優的籌資機制。第一個,我們稱之為“資本主義”,其總貢獻恰好等于個人貢獻的總和,正如Bergstrom等人(1986)所分析的那樣。沒有基于個人貢獻的集中資金,因此不需要稅收或轉移。


聲音 | V神:關于Blockstream聯合創始人Adam Back和億萬富翁Jeffrey Epstein之間聯系的指責太過牽強:V神(Vitalik Buterin)認為Blockstream聯合創始人Adam Back和已故億萬富翁Jeffrey Epstein之間的聯系充其量是微不足道的。但社交媒體用戶指出MIT Media Lab和比特幣相關服務公司Blockstream之間的潛在資金流動。 Adam Back因涉嫌與億萬富翁Epstein的資金有關而受到負面宣傳。V神在推特稱這種聯系太過牽強。V神發現億萬富翁的錢和Blockstream的實際活動之間有太多程度的分離。(Bitcoinist)[2019/9/10]
另一種機制,我們將稱之為“1p1v”,由多數票決定是否資助一個機制,以及通過稅收和轉移資助選擇的機制。

顯然1p1v不會導向最優因為因為在上面的公式中必須使用平均值而不是中位數來恢復,正如Bowen(1943)所觀察到的。Bergstrom(1979b)討論了平均值可能是中位數的良好近似的情況,并證明了1p1v類型系統普遍低效。


與資本主義相比,公共物品的資助往往更高,也可能更準確,這可能是大多數發達國家使用民主機制來確定公共物品的原因。然而,很明顯,中位數通常不是平均值的近似值,特別是對于較小社區的有價值的商品或“創業公共產品”,其中一個小社區對公共產品有一個想法,但當時并未被廣泛理解以供資助。他們很可能得不到民主的資助;這是為什么大多數小社區主要由慈善機構或資本主義而不是1p1v資助的一個重要原因。一些改進是可能的,這取決于籌資機制的調整方式;正如Bergstorm(1979a,b)認為的那樣,如果有一些合理的代理可以讓公民從一種物品中獲益最多,并且我們可以為此征稅,那么1p1v民主可能會產生合理的結果,因為每個人都會就某種特定物品是否合意達成一致。但這引出了一個問題:在這種情況下,任何協商一致的機制都會同意。我們的目標是在不假設這種先驗集中知識的情況下找到合適的資金。
金色財經現場報道,V神稱:區塊鏈在金融行業最有望成為領跑產業:在以太坊技術及應用大會上,觀眾提出問題:什么時候區塊鏈能真正和一個特定的領域和行業在一起,成為領跑者?V神表示:金融行業,應用的最早,其他的行業如游戲行業也很有前景。也有人問及以太坊什么時候能漲到1萬元,V神坦言不知道。[2018/6/3]

Tags:比特幣RINVITA以太坊比特幣行情分析及最新消息1小時前UpfiringData Vital以太坊交易所清算
法國二月革命1996年1月,比爾蓋茨發表了后來成為早期互聯網經典文章之一的文章。在其中,他描述了互聯網的特性,這些特性將為創造者經濟奠定基礎.
1900/1/1 0:00:00如果說幾天前,adidas三葉草宣布與BoredApe等知名NFT品牌合作的消息還只是熱身的話,那么今天Nike宣布收購RTFKT無異于大餐.
1900/1/1 0:00:00本文轉載自CoinTelegraph,Odaily星球日報經授權發布據海外區塊鏈資訊平臺CoinTelegraph.
1900/1/1 0:00:00原文作者:VanEck產品經理JohnPatrickLee原文來源:VanEck原文編譯:比推BitpushNews2021年是加密貨幣采用和突破的里程碑式的一年.
1900/1/1 0:00:00加密世界的進化史是一部熱點輪動史,當DeFi、NFT和GameFi逐漸不再性感時,DAO來了。ConstitutionDAO是引爆這波DAO浪潮的主力,雖然沒能成功拍得美國憲法副本,但許多參與捐.
1900/1/1 0:00:00原文標題:《Uniswap應該是一個預言機協議嗎?》原文作者:AlexKroeger原文編譯:Blockunicorn 今年5月,Vitalik在Uniswap治理論壇上創建了一個帖子.
1900/1/1 0:00:00