 BTC/HKD+1.81%
BTC/HKD+1.81% ETH/HKD+1.49%
ETH/HKD+1.49% LTC/HKD+1.99%
LTC/HKD+1.99% ADA/HKD+1.29%
ADA/HKD+1.29% SOL/HKD+0%
SOL/HKD+0% XRP/HKD+1.04%
XRP/HKD+1.04%北京時間8月4日凌晨,去中心化衍生品項目方dYdX宣布鑄造了10億治理tokenDYDX,并將在5年內分配完畢。其中,有50%的DYDX將分配給社區用戶,27.73%的DYDX分給投資者,其余部分則分配給創始團隊、顧問等。據悉,dYdX將初始token供應的7.5%空投給過往使用過該協議的用戶,而取得空投資格的用戶,需在dYdX的Layer2協議上完成相應的交易量才可領取獎勵。除此之外,dYdX還為交易者及流動性提供者提供了token激勵。延伸閱讀:官方詳解DYDX治理代幣注:為了避免監管問題,項目方排除了美國等司法地區,因此使用這些地區IP地址的用戶將無法領取到空投獎勵。
   
報告:三分之二的AI Chrome擴展程序可能危及用戶安全:金色財經報道,Incogni最新報告的數據顯示,超過三分之二的Google Chrome瀏覽器人工智能擴展具有高風險影響,如果遭到破壞,可能會對用戶網絡安全造成“嚴重損害”。
8月份的報告分析了7個不同類別的70個AI Chrome擴展程序,其中10個寫作擴展程序均屬于高風險類別。70個擴展中的48個如果擱淺,就會屬于高風險影響類別,但60%的擴展首先面臨安全漏洞的風險較低。
Incogni負責人Darius Belejevas表示,雖然這些擴展提供了“不可否認的便利”,但用戶應該將隱私和安全保護作為首要任務。[2023/8/8 21:32:08]
1追溯空投獎勵
多邊央行數字貨幣橋成功完成首次真實交易試點測試 深圳企業交易量占三分之一:10月10日消息,從深圳市地方金融監督管理局獲悉,近期,多邊央行數字貨幣橋(m-CBDCBridge)平臺成功完成了基于四個國家或地區數字貨幣的首次真實交易試點測試。中國內地5家試點銀行在深分支機構均組織各自企業客戶參與到首批試點測試工作中。據悉,在中國內地參與此次試點測試的所有交易中,來自深圳地區企業的交易量占比達三分之一,成為業務場景最豐富、交易發生量最多的地區。(上證報)[2022/10/10 10:29:04]
據悉,dYdX在2021年7月26日UTC0時截取了快照,共有64306個用戶地址符合空投資格,最低每個賬戶可領取到310DYDX,最高則有9529DYDX,盡管當前這些token還沒有在市場上交易,但據此前dYdX已獲得的8700萬美元融資來看,這些空投的價值將十分可觀。而獲得空投資格的用戶,需在28天內完成交易量任務,然后等至Epoch0結束后8天方可領取獎勵。而在這個期間沒有完成交易任務的獎勵,將被沒收并自動分配到社區金庫。舉一個例子:假設A的一個地址擁有空投資格,其訪問https://trade.dydx.exchange/portfolio/rewards并連接錢包后顯示可領取1163.5DYDX,則其需要在28天的時間內在dydx上完成500美元及以上的交易量才可獲取所有的空投獎勵,如果他只完成了250美元的交易量,則他可領取的獎勵只有581.75DYDX,剩余的部分將被沒收。
Bankless:Q2以太坊網絡交易費用跌超三分之一:7月11日消息,據Bankless最新發布的《以太坊現狀報告——2022年第二季度》數據顯示,由于4月至6月期間加密市場低迷,以太坊網絡交易費用在二季度下降了33.4%——從2022年第一季度的19.1億美元下降到12.8億美元。
此外,二季度以太坊日均活躍地址下降20.6%,鏈上鎖倉量從一季度的594.2億美元下降到342.1億美元,跌幅達到42.4%;鏈上DEX現貨交易量從一季度的3505.4億美元跌至3191.3億美元,跌幅為9%。[2022/7/11 2:04:43]
   
分析 | 調查報告:俄羅斯數字貨幣營業額三分之一來自中國商人:據bitcoin.com報道,俄羅斯首都每日的數字貨幣營業額在1000萬美元到2000萬美元之間,有時甚至達到5000萬美元。其中,三分之一來自中國商人,他們使用數字貨幣對進口貨物進行跨境支付。[2018/9/13]
注:由于token獎勵無法立即獲取,完成領取任務注意要避免在網絡擁堵的情況下進行。2交易獎勵
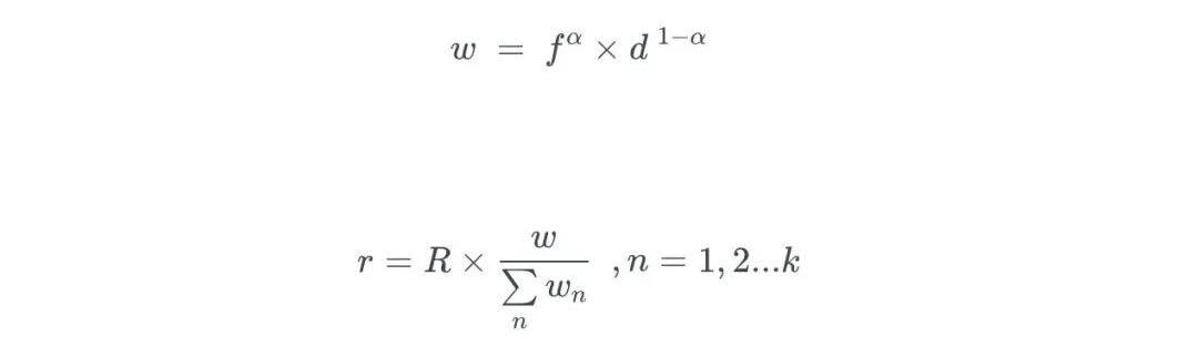
除了初始空投獎勵外,dYdX還將初始代幣供應量的25%分配給在未來5年內在dYdXLayer2協議上進行交易的用戶,每個epoch周期將分配3,835,616DYDX代幣。以下是具體分配涉及到的函數公式:
   
以下示例說明了使用上列公式計算出的交易者A、B和C的交易獎勵:
   
注意:通過交易獲得的DYDX代幣將在每個epoch周期結束后7天才可領取交易挖礦獎勵,領取地址:https://dydx.community/dashboard。
   
3流動性提供者獎勵
而對于不擅長衍生品交易的用戶而言,他們也可以通過提供流動性獲取到DYDX代幣。項目方表示將初始代幣供應量的7.5%在未來5年內逐漸分配給流動性提供者,具體規則涉及到了一個涉及市場參與度、兩側深度、買賣價差的數學組合公式,具體函數如下:
   
有興趣了解細節的讀者可以訪問https://docs.dydx.community/dydx-governance/rewards/liquidity-provider-rewards了解,根據官方的說明,并不是每個流動性提供者都可以獲取到LP獎勵,門檻是在前一個epoch周期中,用戶需在dYdXLayer2協議上達到至少5%maker交易量的流動性提供者才可在當前epoch周期獲取LP獎勵。對于Epoch0,dYdX項目方將會顯示哪些LP滿足了這個條件。目測這個LP獎勵也不是那么好拿的。4如何領取
進入dYdX首頁,左側點擊Rewards進入Rewards后,將顯示該地址是否有DYDX空投可以領取。不過按照規定,用戶不能直接領取DYDX空投獎勵,不同量級的歷史用戶需要在dYdX的Layer2版本中再次滿足一定交易量的要求才能領取空投。如圖所示,官方對不同量級用戶分別設置了領取門檻,用戶需要在8月3日15時至8月31日15時間,在dYdX的Layer2版本中,完成對應交易量,才可領取空投。如歷史交易量超過100萬美金的用戶需要在改時間段內在完成10萬美金交易量,才可領取空投。文章參考:DeFi之道,標題《三分鐘了解dYdX空投、交易及LP獎勵規則》律動BlockBeats,標題《如何領取去中心化衍生品交易協議dYdX治理代幣?》星球日報對內容進行刪改編輯,經授權轉載。
|作者:AlexShipp|編譯:MantaNetwork很長一段時間以來,區塊鏈開發者都在用隱私來換取財富,是時候回歸加密貨幣的本源了。為了追求增長,近年來加密貨幣社區一直將隱私置于創新之后.
1900/1/1 0:00:00KeyTakeaways:騰訊區塊鏈新品“小借條”遭舉報,或涉及反不正當競爭法“小借條”:直擊傳統借條痛點.
1900/1/1 0:00:00收錄于話題#每日期權播報 播報數據由Greeks.live格致數據實驗室DataLab和Deribit官網提供。對于要賣看漲期權,要做備兌的朋友們,一定要規劃好各個行權價上面的資金比例.
1900/1/1 0:00:00原文標題:《這種看漲比特幣期權策略的目標是5萬美元,沒有清算風險》文:MARCELPECHMAN,編譯:Zion比特幣遠期期權和多頭仍然以其極度看漲的押注掀起波瀾,但他們也必須承認.
1900/1/1 0:00:00希望你喜歡我們的這個嘗試。*編者按:今年年初GME散戶逼空華爾街,以及3月份開始馬斯克在加密貨幣市場引發的動物園狂潮,都是理性的價值投資者所難以理解的.
1900/1/1 0:00:00價值150,000美元的REVV和TOWER代幣獎勵,以及AnimocaBrands的塔防手機游戲《瘋狂塔防物語》的寶石道具.
1900/1/1 0:00:00