BTC/HKD-3.33%
ETH/HKD-3.93%
LTC/HKD-3.55%
ADA/HKD-4.17%
SOL/HKD-4.81%
XRP/HKD-3.28%Overview概述本文將通過對比股票市場期權產品、商品交易所期權產品以及比特幣期權產品來介紹比特幣期權市場價格的有效性。Report報告風險中性概率
在我們開始討論不同的期權定價模型之前,我們需要了解風險中性概率的概念。風險中性概率廣泛應用于期權定價中,在不同的期權定價模型中可能會遇到。風險中性概率是根據風險調整后的未來結果的理論概率。這一概念背后有兩個主要假設:資產的當前價值等于以無風險利率折現的預期收益。市場上沒有套利機會。風險中性概率是指股票價格在風險中性世界中上升的概率。但是,我們并沒有假設市場上所有的投資者都是風險中性的,也沒有假設風險資產會獲得無風險的收益率。這個理論價值衡量的是購買和出售資產的概率,就好像市場上所有東西都有一個單一的概率一樣。期權定價
在介紹各市場期權產品之前,我們首先探討一下本文即將使用的兩種期權定價方式:B-S定價模型以及B-A-W定價模型。B-S定價模型
首先來看推導BS微分方程時用到的假設:期權的行權方式為歐式,即只有到期日才可以行權。股票的價格符合幾何布朗運動,即股票的不確定性滿足對數正態分布。可以做空證券,且證券可以被分割。市場無摩擦,即不存在交易費用和稅收。在期權期限內,標的股票不支付股息。在期權期限內,標的股票年收益率的標準差σ已知且保持不變。市場不存在無風險套利機會。標的資產交易是連續的。短期無風險利率為常數并已知。不過,這些假設可以放寬,并在必要時根據特殊情況進行調整。此外,我們可以很容易地使用這個模型來為股票以外的資產(貨幣、期貨)的期權定價。根據Black-Scholes模型,我們可以推導出以下數學公式來計算歐洲看漲期權和看跌期權的公允價值:
某新建地址于14小時前從MEXC提取76.5萬枚MAGIC:6月27日消息,據LookOnChain監測,匿名新建錢包地址于14小時前從MEXC提取了76.5萬枚MAGIC(約合70.1萬美元)。[2023/6/27 22:03:19]

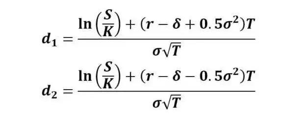
上述公式使用了風險調整后的概率。N(d1)是風險調整后的在期權到期時收到股票的概率。N(d2)是期權將被執行的風險調整概率。這些概率是使用因子d1和d2的正態累積分布計算的。該公式給出了非派息股票的歐洲看漲期權的價值/價格。函數N(?)代表累積分布函數為正態(高斯)分布,這是一個隨機變量的概率是小于等于其輸入條件(即d?和d?)正態分布的。概率N的值(?)換句話說永遠是0≤N(?)≤1之間。輸入d?和d?得出:

Black-Scholes模型主要用于計算歐式期權的理論價值,由于美式期權具有在到期日之前行權的特點,因此不能應用于歐式期權。Black-Scholes模型中使用的主要變量包括:標的資產的價格(S)是該資產的當前市場價格執行價格(K)是期權可以被執行的價格波動率是衡量證券價格在隨后的階段變動幅度的指標截止時間(T)是指從計算日期到執行日期之間的時間利率(r)為無風險利率股息收益率最初并不是模型的主要輸入內容。最初的B-S模型是為無股利股票的期權定價而開發的。由于我們通過Delta對沖消除了隨機性,該方程中沒有任何隨機變量,所以它是一個一般的微分方程,而非隨機微分方程。求解這個微分方程需要給定的邊界條件。對于歐式看漲期權,它的邊界條件為當時間t=T時,期權的價格C必須滿足C=max(S(T)-K,0)這里K是行權價格。對于任何一個期權,在定價時有兩個不確定性需要考慮:這個期權到行權日到底是不是實值期權,就是到底有沒有行權的價值。如果行權了,那么我們的收益到底能有多少。這兩個不確定性恰恰就對應著由BS定價公式中的N。B-A-W定價模型
美國2年期國債收益率日內下跌30個基點至3.85%:金色財經報道,美國2年期國債收益率日內下跌30個基點至3.85%。[2023/3/18 13:11:48]
我們知道,歐式期權只有在到期日才能行權,美式期權在到期日前的任何時候都能行權,就是這種行權時間的靈活性賦予了它相對歐式期權的一個溢價,那么,問題就清楚了,美式期權的定價公式如下:美式期權價格=歐式期權價格+溢價那么具體怎么計算呢,首先我們先引入一個描述期權價值的眾所周知的偏微分方程:

這只是對B-S模型的基本假設做了一些調整。基本上,我們允許對標的資產發放股息(d),并假設其收益率為不變。股息收益率定義為每股股息除以股價。資產的持有成本(b)是無風險回報率減去年度股息收益率(b=r-d)。當d=0和b=r時,這是普通的B-S公式。當r=d和b=0時,這是期貨期權的B-S模型。提前行權溢價的定義為:

在這里我要多解釋一句:其中,C(S,T)是美式期權價值,c(S,T)是歐式期權價值。這里的基本要點是,美式期權的價值必須等于歐式期權價值加上一個額外特征的溢價。現在,讓時間從到期日的時間向后發展,*t,此時此刻的時間為t。然后到期時間T的定義是T=?t-t溢價率的變化對時間是一個等式εT=?εt。我們將這個結論應用于之前的偏微分方程,得到了提前行權溢價的偏微分方程。
基于區塊鏈的征信網絡Creditcoin獲DWF Labs投資:2月15日消息,基于區塊鏈的征信網絡 Creditcoin 獲 DWF Labs 投資,Creditcoin 直接與借貸機構集成,通過 Credal API 在鏈上創建可驗證的信用情況,旨在建立可互操作的跨鏈信用市場以支持基于加密貨幣的融資。[2023/2/15 12:09:09]

我們用M=2r/σ^2,N=2b/σ^2帶入公式,把他簡化一下:

然后Barone-Adesi&Whaley將提前行權溢價改寫為εc(S,K)=K(T)f(S,K),表示為到期時間和股價的函數。可得εSS=-KfSS和εT=KKTf+KKTfK。將這些代入上式,通過收集項和因式分解可知

其中,K=1-exp是已知條件。到目前為止,我們還沒有做出任何近似,因此這仍然是一個精確的分析。現在看看(1?K)MfKLHS的最后一部分。通過讓T趨于0,fK趨于0,如果T趨于無窮,K趨于1。因此通過消去最后一項,剩下的方程是一個整潔的二階常微分方程。
ARK Invest增持320萬美元的Coinbase股票:金色財經報道,木頭姐(Cathie Wood)的ARK Invest通過其投資組合在增持320萬美元Coinbase股票(COIN),以表明其對Coinbase的信心。據統計,目前ARK Invest持有580萬股COIN,其中2.28億美元投資于其專注于科技的ARK InnovationETF(ARKK)。(CoinDesk)[2022/12/15 21:46:18]

我們通過求線性解,得出一個通用解:



顯而易見,現在有一個問題,那就是如何承認和設定公式的邊界條件。由于q1<0,則當S=0時,f(S)→±∞。這是不太合理的,因為從邏輯上講,不值得為不值錢的東西支付額外的錢。一般來說,如果S趨向于零,那么提前行權溢價也必然趨向于零。因此施加約束a1=0,使a2S^q^2永遠不能接近±∞。這個公式可以寫成
跨鏈流動性協議Chainge Finance與聚合協議OpenOcean達成合作:據官方消息,跨鏈流動性協議 Chainge Finance 與跨鏈聚合協議 OpenOcean 已達成合作,共同構建更公平的去中心化交易市場。OpenOcean 將接入 Chainge Finance API,向用戶提供最高流動性和最優價格;Chainge 聚合 DEX 中列出的現有代幣流動性也得到大幅提升,用戶可同時訪問多個鏈上 OpenOcean 的聚合流動性。[2022/8/19 12:35:35]

到這里,公式的推導基本就成功了。另外我們利用牛頓迭代法,就可以得到

這也就是公式的最終解。實例分析
首先,我們分別取用了道瓊斯、標準普爾500和納斯達克指數基金的期權以及OKex、Deribit和上證50ETF的期權進行比較。

我們分別計算了上述六個期權的期權費與行權價的比、期權費與限價的比、限價與行權價的比。并通過B-S模型和B-A-W模型分別計算了他們的模型價值以及實際期權費與模型期權費的偏移值。

從圖中可以看出,與模型差距最小的是okex和deribit的期權,其中okex的期權與模型價格相差無幾。歐式期權價格偏移值明顯高于美式期權,這也是由于模型缺陷造成的正常現象。

我們同時計算了這六個看漲期權的breakevenprice和行權價以及和現價的偏移值,可以看出,btc期權的偏移值明顯高于其他期權。


于是,我們每個期權采集了八條不同行權價的期權,總共48條數據進行觀測,試圖尋找期權中的偏移值與隱含波動率的關系,結果如下:

根據觀測的結果,我們可以發現偏移率能夠解釋98.43%的隱含波動率情況,也就是說,線性推導關系成立。所有的期權偏移率與其隱含波動率完美符合,即btc期權市場有效性與其他市場有效性相同。注1:數據采集于7月9日下午2時37分Conclusion結語對于投資者來說,除持倉風險外,對OKEx與Deribit交易所基本可以排除其市場定價有效性的懷疑。風險提示:警惕打著區塊鏈和新技術的旗號進行非法金融活動,標準共識堅決抵制利用區塊鏈進行非法集資、網絡傳銷、ICO及各種變種、傳播不良信息等各類違法行為。
Tags:COICOINOINHAIhotcoinglobal不能用了MyBitcoinInverse Bitcoin Volatility Index Tokenblockchain錢包下載
編者按:本文來自巴比特資訊,作者:TannerHoban和TomBorgers,譯者:灑脫喜,星球日報經授權發布.
1900/1/1 0:00:00\n哈嘍大家好,我是小K君,今天我們要講的內容是:“中本聰的消失”? 我們都知道,中本聰是比特幣的創始人.
1900/1/1 0:00:00BTC/USDT永續合約 各級別性質:日線-盤整,4小時-盤整,1小時-盤整截圖來自OKEXBTC/USDT永續合約1小時圖:對于行情從兩個角度來說.
1900/1/1 0:00:00幣圈近期的活躍度變低并不是錯覺,根據數據顯示,6月份比特幣期貨交易量較5月份下降40%,由5570億美元降至3320億美元,現貨交易量也在6月份月下降逾31%.
1900/1/1 0:00:00作者:NestCore近期有人提到NEST預言機價格可能被復制,導致無法收費。我們認為這種質疑并不成立,因為這些復制方法存在各種問題,而且NEST可以通過一些方式對這些復制行為進行治理.
1900/1/1 0:00:00由中國政法大學全球價值鏈與票據金融研究中心發布的《中國企業區塊鏈創新與監管評估報告》從區塊鏈項目、創新能力、社會關注度以及法律風險四個維度對401家網信辦備案企業進行了綜合評估.
1900/1/1 0:00:00