 BTC/HKD-0.33%
BTC/HKD-0.33% ETH/HKD+0.56%
ETH/HKD+0.56% LTC/HKD-0.02%
LTC/HKD-0.02% ADA/HKD-0.72%
ADA/HKD-0.72% SOL/HKD-0.32%
SOL/HKD-0.32% XRP/HKD-0.16%
XRP/HKD-0.16%TL;DR
在上一篇文章Hello,OlaVM!中提到,OlaVM的愿景是建立一個高性能的ZKVM,本文將重點介紹使得OlaVM獲得高性能的工具之一,Lookupargument。Lookupargument對縮減電路規模,以提高ZK效率有很重要的作用,在ZKVM的電路設計中被廣泛應用,通過本篇文章你可以了解到:
1.Lookupargument在ZKVM中將發揮著怎樣的角色?
2.Plookup協議原理。
3.Halo2的Lookupargument協議原理。
4.兩個Lookupargument算法之間的聯系。
TherolesinZKVM
所謂的ZKVM,其實就是用ZK約束VM所有的執行過程,VM的執行過程一般可以分為:指令執行,內存訪問,內置函數執行等。在一個trace里執行對這些操作的約束看起來有點不切實際,首先,不同操作類型的約束對應不同的trace的寬度,如果其中一個約束對應的trace寬度特別大,就會造成其余約束對應trace的浪費;然后,一個trace里有太多不同的操作類型,就會引入更多的selector,不僅會增加多項式的個數,而且還會增加約束的階;最后,由于群的階限制,trace的行數不能超過這個群的階,因此,應該盡量減少某種類型的操作所占用的trace行數。
資產管理公司Stone Ridge申請清算旗下比特幣基金:金色財經報道,資產管理公司Stone Ridge周一向美國證券交易委員會(SEC)提交了其“bitcoin strategy fund”的清算和解散計劃。根據該文件,該基金的清算預計將在10月21日或前后進行,截至10月3日收盤,股票將無法購買。該資產管理公司預計在這之前將按照其聲明的投資策略運作該基金。(The Block)[2022/9/13 13:25:05]
因此,為了簡單,我們需要:
a.把不同的操作類型分成多個子trace,然后分別證明,主trace和子trace之間需要通過Lookupargument來保證數據的一致性。
b.對于一些ZK-unfriendly計算,我們可以通過Lookupargument技術來縮減trace的規模,比如位運算等。
當然,也有其他的一些技術手段來減少trace規模,我們將在后面的文章中給予說明。
Lookupbetweentracetables
VM所有的執行過程會組成一個完整的trace,稱為主trace,這里的完整是包含VM執行的所有狀態,不會涉及到輔助狀態,比如,方便ZK驗證的一些擴展信息等;如前面所述,在主trace里面包含這種輔助信息,會使得主trace變得復雜,難于約束。因此,為了約束方便,通常會建立一些子trace,然后分別針對這些子trace進行約束,而主trace主要用來進行執行正確的程序約束和Context約束。
FTX和Alameda Research合并風險投資業務:金色財經報道,Alameda首席執行官Caroline Ellison在接受采訪時表示,加密貨幣交易所FTX和Alameda Research將合并風險投資業務。
此前一天,Alameda Research聯合首席執行官Sam Trabucco宣布辭職,擔任公司顧問。(彭博社)[2022/8/26 12:49:00]
圖片1.Lookupbetweentraces
通過建立不同的子trace,我們把VM執行的不同操作進行劃分,通過Lookupargument技術來保證了子trace的數據源于主trace。對于子trace里的數據有效性證明,需要根據具體的操作類型,生成不同的trace,然后用對應的約束去證明trace的有效性;特別是對于bitwise,rangcheck等zk-unfriendly操作。
LookupforZK-unfriendlyoperations
如前面所述,每個子trace的證明是獨立的,所以獲得一個盡可能小的trace,會提高prover的效率。以bitwise為例,bitwise操作包含AND,XOR,NOT三種操作。如果想通過電路單純的實現對bitwise操作的約束,那需要做的可能是,把每個op拆成多個2進制的limbs,如果這些op是32bit位寬,那就會拆分成32個limbs。然后,你需要約束:
Ava Labs創始人:Solana此次攻擊可能是供應鏈攻擊:8月3日消息,Ava Labs創始人Emin Gün Sirer在社交媒體表示,目前在針對Solana生態系統的持續攻擊中,已經有7000多個錢包受到影響,并且正在以20/min的速度增長。他認為,因為現在還很早,而且攻擊仍在進行中,所以有很多錯誤信息和猜測。
他說,由于交易簽名正確,攻擊者很可能已經獲得了對私鑰的訪問權限。一種可能的途徑是供應鏈攻擊,其中JS庫被黑客入侵,并泄露(竊取)用戶的私鑰。受影響的錢包似乎是在過去9個月內創建的,但也有報告說新創建的錢包也受到影響。目前停止鏈條是無濟于事的,當鏈條恢復時攻擊將恢復。[2022/8/3 2:55:19]
   
總共占用3+32*3=99個tracecell,約束個數為3次sumcheck+32次bitwise=35個。
如果這個時候有一些真值表,對于AND,XOR,NOT計算,你可以定義三個表,這些表里存的是指定位寬的op進行bitwise計算的數據,比如8bit。對于32bit的op,只需要把它們拆分成4個8bit的limbs,然后這些op的limbs之間的bitwise關系,也不用對應的約束去實現,只需要在fixedtable里進行Lookup即可,此時,總共占用了3+4*3=15個tracecell,約束個數為3次sumcheck+1次Lookupargument。
今日恐慌與貪婪指數為12,恐慌程度上升:6月11日消息,今日恐慌與貪婪指數為12(昨日為13),恐慌程度較昨日上升,等級仍為極度恐慌。
注:恐慌指數閾值為0-100,包含指標:波動性(25%)+市場交易量(25%)+社交媒體熱度(15%)+市場調查(15%)+比特幣在整個市場中的比例(10%)+谷歌熱詞分析(10%)。[2022/6/11 4:18:28]
圖2.LookupinArithmeticoperations
Lookupargument不僅對bitwise操作的證明有極大的提升作用,對于rangeck操作同樣。對于32bit的op,只需要把他拆分成2個16bit的limbs即可;這里有兩個很好的設計,一個是會使得rangecheck占用更少的tracecells;另外一個是rangcheck的sum約束可以復用我們自定義的ADD-MUL約束。對于不同的計算類型,能夠復用同一個約束,對整體的效率提升具有很大的幫助,如上圖所示,對于自定義的ADD-MULgate,它可以支持ADD,MUL,ADD-MUL,EQ,RANGECHECK五種計算類型的約束復用。
Plookup協議
介紹
流媒體平臺CHILI支持BTC、USDT等支付方式:5月31日消息,流媒體平臺CHILI與意大利加密貨幣交易所Coinbar近日達成合作。從6月15日開始,用戶將能夠利用CoinbarPay在CHILI上使用加密貨幣付款。新服務最初將支持Bitcoin(BTC)、Ripple(XRP)、Tether(USDT)、DigitalBits(XDB)。(Cointelegraph)[2022/5/31 3:53:21]
   
符號說明
   
預處理
   
協議過程
   
協議理解
   
   
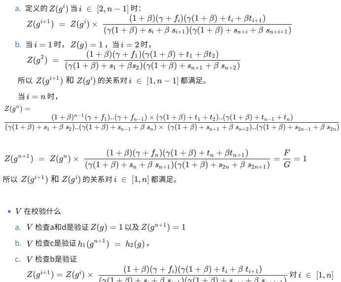
Halo2Lookup協議
介紹
   
協議過程
   
支持ZK
   
Extend-1:VectorLookup
   
Extend-2:Multi-tables
   
LinksbetweenPlookupandLookup
Plookup協議與Halo2的lookup協議都能證明f?t,但兩個協議的思想是不同的,區別如下:
Plookup需要使用f和t構建一個新的數列s,f和t中的元素都在s中至少出現一次,接著通過比較s和t中元素的非零距離集合是相等的來證明s?t,最終f?s?t→f?t。
Halo2的lookup直接證明f?t,不需要構建新的數列,比plookup更簡潔。
Plookup和Halo2lookup都需要對集合進行排序和補齊,plookup補齊后|t|=|f|+1,Halo2lookup補齊后|t|=|f|=2^k。
參考
1.Hello,OlaVM!:https://hackmd.io/@sin7y/H1yPj_J8i
2.OlaVM:https://olavm.org/
3.Plookup協議:https://eprint.iacr.org/2020/315.pdf
4.Halo2的Lookupargument:https://zcash.github.io/halo2/design/proving-system/lookup.html
關于我們
Sin7y成立于2021年,由頂尖的區塊鏈開發者組成。我們既是項目孵化器也是區塊鏈技術研究團隊,探索EVM、Layer2、跨鏈、隱私計算、自主支付解決方案等最重要和最前沿的技術。團隊于2022年7月推出OlaVM白皮書,致力于打造首個快速、可擴展且兼容EVM的ZKVM。
官網:https://sin7y.org/
白皮書:https://olavm.org/
社群:http://t.me/sin7y_labs
官推:@Sin7y_Labs
微信公眾號:Sin7y
郵箱:contact@sin7y.org
研究文章:https://hackmd.io/@sin7y
Github:Sin7y
Tags:TRALOOKOKUTRACtrace幣有價值嗎LOOKS價格ShikokuaidoTrace Network Labs
1.事件回顧 FTX事件到11月9日似乎進入了一個新的階段,在過去24小時之內發生的事情幾乎可以確定會被銘刻在加密貨幣行業的歷史里.
1900/1/1 0:00:00區塊鏈瀏覽器TRONSCAN最新數據顯示,截至10月17日,波場TRON賬戶總數達到116,081,883,正式突破1.16億.
1900/1/1 0:00:00孫宇晨:波場TRON借貸池計劃于12月初上線:波場創始人孫宇晨在推特表示,波場TRON的借貸池計劃于12月初上線。具體上線日期將在SUN town hall會議上宣布.
1900/1/1 0:00:002023年,Poloniex迎來了第九周年。在幣圈,做到九年的交易所,已經算是絕對的老牌了。能在瞬息萬變的加密領域生存發展,沒點硬實力是不行的.
1900/1/1 0:00:00首先,向所有在FTX危機時期遭受苦難的人表示最深切的同情。歸根結底,加密社區不僅僅是一群投資者和建設者,而是由各行各業的人組成,他們在去中心化的旗幟下聚集在一起,為自己和其他人創造更美好的金融未.
1900/1/1 0:00:00據官方消息,Wintermute已正式成為TRX官方做市商和整個波場TRON生態系統戰略合作伙伴。Wintermute將為各大交易所的主要TRX交易對提供流動性,并為波場生態建設貢獻力量.
1900/1/1 0:00:00