BTC/HKD-1.66%
ETH/HKD-7.02%
LTC/HKD-2.71%
ADA/HKD-3.98%
SOL/HKD-4.26%
XRP/HKD-3.22%蘋果是世界上估值最高的公司,目前估值約為 2.83 萬億美元,我們都知道為什么它的估值如此之高--豐厚的現金流!所有公司都以利潤/收入為核心動機,整個估值是根據收入潛力計算的。這是主流估值方法,但如何為社區估值,尤其是現在的DAO,仍然是一個值得探索的話題。因此,DAOrayaki將在這篇文章中,討論一些可能的估值方法。?。
首先,讓我們了解什么是社區?語境:

社區天然就是有價值的。它們匯集了成員的資源、技能、知識和經驗,為成員和與他們互動的其他利益相關者創造價值。從眾包建議到支持非營利事業,甚至在 COVID 浪潮期間籌集資金和拯救生命,社區歷來被用來實現和推進各種目標。例如,在許多印度農村社會,以社區為基礎的倡議(如合作社)是一種由來已久的工具,使數百萬沒有銀行賬戶的人能夠獲得信貸和其他金融服務。
隨著過去幾年我們在互聯網上花費的時間越來越多,我們創建并建立了更多的在線社區。比如,我們是 WhatsApp、Facebook、Discord、Reddit、Quora 等群組的成員。這些基于互聯網的社區能夠利用更多資源并更有效地運行,因為成員資格沒有地理界限。來自不同背景的人可以帶來不同的觀點和技能,使他們的社區更有價值。這些社區的影響力和價值也能夠影響到全世界更多的人。社區不再必須由長得像我們的人組成;它們可以圍繞更多樣化的因素形成,比如意識形態、愛好,甚至是任意的興趣。
根據社區目標,實體社區通常可以為其成員創造和賦予財務價值。例如,當地的教師社區可以將資金集中起來創辦一家允許成員分享利潤的企業。他們可以這樣做,因為當社區成員彼此靠近時,更容易建立管理財務資源所需的信任和協調水平。
對于成員往往是遍布全球的陌生人的在線社區而言,情況并非如此。建立信任和協調決策幾乎是不可能的。例如,如果您是在線數字藝術愛好者團體的一員,并且您的團體決定超越討論藝術來維護收藏,那么管理起來幾乎是不可能的。因此,今天基于互聯網的社區創造的財務價值最終被社區“領導者”或托管平臺(例如 Reddit)所捕獲。
摩根大通將Coinbase目標價從55美元上調至59美元:金色財經報道,摩根大通將Coinbase目標價從55美元上調至59美元。[2023/5/5 14:44:59]
為了在財務上進行協調,成員需要:
法律基礎設施
用于付款和收款的銀行賬戶
一種以民主和公平的方式做出決策的可擴展方式
傳統社區缺乏這一切?但Web3 解決了這個問題!它怎么解決??
在 Web3 中,從 DeFi 到 NFT 的一切都以社區為中心。社區成為項目的第一批采用者,通過代幣激勵社區成員做出貢獻、推動分配并創造巨大價值,以換取收益。在 Web2 世界中,社區更像是一種參與功能,不同的公司嵌入社區,以便他們的用戶堅持使用平臺并最終幫助公司通過這種粘性獲利。它們本身沒有內在價值。為 web3 互聯網創造價值的燃料是代幣。
任何 Web3 項目在發布其第一個版本后,都會嘗試著圍繞它建立一個社區——社區成員就如早期用戶。這就像在開源開發中一樣,公司試圖邀請社區參與,給予賞金、贈款和其他激勵,在開放中發展,建立社區,并在決策上引入共識。Web3 項目遵循類似的策略。但在這里,他們更進一步——除了費用/贈款之外,還提供代幣(股權),這改變了游戲規則!
為了讓事情變得更酷,Web3 中的社區也有了自己的名字——DAO!將 DAO 視為“擁有共享銀行賬戶的一群人”。它們是以共同使命為中心的數字原生社區。
DAO 是一種為項目融資、管理社區和分享價值的新方式。如果說區塊鏈、NFT、智能合約、DeFi 協議和 DApp 是工具,那么 DAO 就是使用它們來創造新事物的群體。對于決定將資源集中到智能合約中,然后使用某種形式的決策機制(投票)來分配這些資源的人來說,這是一個普通的術語。
現在,在了解了社區和 DAO 的基本方面之后,讓我們來看看核心問題——我們如何對其進行估值?
DAO 通常被稱為去中心化組織或新型 LLC(有限責任公司)。它們也被認為是從企業層次結構到價值創造網絡的過渡。對于傳統公司而言,核心是在當前或不久的將來產生現金或收入,并以此為基礎進行估值。
香港基金ProDigital Future Fund擬籌集1億美元用于投資加密初創公司:3月30日消息,一家名為“ProDigital Future Fund”的香港基金計劃今年籌集1億美元用于投資數字資產初創公司,現已獲得至少3000萬美元的資金承諾,首輪參投方包括Sunwah Kingsway Capital Holdings Ltd和Golin International Group Ltd.。該基金由亞洲私募股權公司SAIF Partners的風險合伙人Ben Ng和長期科技投資者Curt Shi領導。
ProDigital Future將瞄準早期和發展中的企業,尤其是與中國有聯系的科技公司,它們正在向Web3轉型。到目前為止,該基金已經投資了6個數字資產項目,包括總部位于香港的元宇宙公司GigaSpace和澳大利亞數字體育俱樂部One Future Football。[2023/3/30 13:35:07]
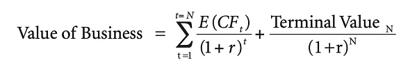
DCF 模型:
典型的公司使用 DCF(Discounted Cash Flow,貼現現金流)估值方法得到廣泛估值——公司的內在價值來自其預期現金流。

DCF是一種復雜的估值模型!為簡單起見,讓我們了解是什么推動了傳統公司對 DCF 模型的價值:
將產生哪些現金流量?
增長率是多少?
企業的風險有多大?
公司何時會成為穩定增長的公司——最終估值?

DAO的類型
例如,服務 DAO (Service DAO)將通過他們承擔的各種類型的項目產生現金,社交 DAO (Social DAO)將從他們的粉絲購買代幣或 NFT 中產生現金,協議 DAO (Protocol DAO)將通過借貸產生現金。
查理·芒格批評加密貨幣,稱其為“錯覺”:11月15日消息,在FTX破產后,伯克希爾·哈撒韋的副董事長查理·芒格加大了對數字資產的批評力度。芒格稱,這部分是欺詐,部分是錯覺。這是一個糟糕的組合。我既不喜歡欺詐,也不喜歡錯覺。這種錯覺可能比欺詐更極端。這位98歲的億萬富翁長期以來一直是比特幣的批評者,此前稱其為“愚蠢和邪惡”。他此前還敦促禁止加密貨幣。芒格發表評論之際,伯克希爾收購臺積電約50億美元的股份,顯示出對尖端技術的長期增長抱有信心,盡管由于全球經濟衰退,芯片制造商今年業績不佳。[2022/11/16 13:09:32]
例如,Uniswap 是一個去中心化交易所 (DEX) DAO,它為人們交易加密貨幣提供便利。它收取的費用約為 0.3**%**(范圍從 0.05% 到 1%),由流動性提供者和財政部分配。在這種情況下,現金流來自費用。Uniswap DAO 每天產生 10 億美元的交易量和約 300 萬美元的每日交易費用,或按此計算高達 10 億美元的年度現金流!因此,我們可以通過對其歷年估計的現金流量進行折現并使用合適的增長率和風險因素進行折現來計算其價值。
收入倍數(Revenue Multiple):
初創公司使用的另一種典型方法是收入倍數,它很簡單:估值/收入
它衡量企業的權益相對于其產生的收入的價值。較高的收入倍數表明它具有很大的增長潛力,最終將產生巨額收入,因此在短期內被高估。
例如,早期創收初創公司的收入倍數為 20-40 倍,而 Uber 等公司的收入倍數為 4-5 倍。現在,讓我們回到 Uniswap:
Uniswap 每天產生約 300 萬美元的交易費用,由流動性提供者 (LP) 分配。因此,讓我們假設這是 Uniswap 作為社區的每日收入,我們為社區或 DAO 獲得約 10 億美元的年收入。根據其目前的市值,其估值約為 100 億美元,這使其收入倍數為 10 倍!但為什么只有 10 倍?造成這種情況的原因可能是 Uniswap 作為一種協議相當穩定,增長前景不是很高,分叉的風險無處不在。
什么是國家——擁有憲法和經濟體制的一群人?DAO 或任何 Web3 社區也是如此!讓我們打個比方,讓它聽起來更有說服力:
區塊鏈協會申請提交涉及SEC和Ripple訴訟案的非當事人意見陳述:10月29日消息,區塊鏈協會(The Blockchain Association)已向法官申請提交一份非當事人意見陳述,涉及美國證券委員會(SEC)與Ripple Labs之間的訴訟,以進一步說明SEC在此案中的論點將如何影響更廣泛的加密行業。
如果該申請獲得批準,非當事人意見陳述在法官作出簡易判決時,可以提供關于事實的背景和見解,但不能在案件中引入新的事實或證據。
據此前報道,美SEC、Ripple分別要求法院駁回對方提出的簡易判決動議。(The Block)[2022/10/29 11:55:15]
一個國家依靠其人民創造“價值”或“GDP”——DAO 依靠其社區。
各國起草一部制定土地法律的憲法。對于 DAO,本章程被寫入智能合約的規則中。
國家決定其結構,以及相關的治理和權力分配,就像 Web3 社區決定其治理和代幣分配一樣。
培育一種新興文化,這種文化源于社區成員本身。
通過應用程序或代幣創建邊界。
發展充滿活力的經濟,無論是通過代幣還是其他創收過程。
共享國庫——中央儲備
它是在特定時間段內在一國境內生產的所有成品和服務的總貨幣或市場價值。

現在,讓我們嘗試揭開所有這些組件的神秘面紗,并進行一些類比:
C → 消費者支出:在一個國家,每個公民都花費貨幣來購買他們的需求和奢侈品。在 Web3 社區中,人們通常花費他們的法幣/代幣來購買 NFT,在 DeFi 協議上進行交易,這些本質上可以形成消費部分。
I → 投資:就像個人和公司在一個國家進行投資一樣,社區成員也會對社區項目進行投資。
G → 政府支出:政府為國家福利花錢,就像 DAO 可以花錢升級社區功能、執行空投等一樣。DAO 的國庫余額可以作為另一個衡量指標。
數據:上月金融科技公司共籌集了超過 59 億美元:7月8日消息,據The Block數據,6 月金融科技初創公司共融資 59 億美元,延續了今年年初以來的下降趨勢。[2022/7/8 2:00:41]
X-M → (出口減去進口):就像一個國家的出口或進口一樣,Service DAO 可能會出口他們的服務,Investment DAO 可能會進口服務,等等。我們可以看到在不久的將來,DAO 之間會發生很多交易。
衡量社區 GDP 的另一種方法是衡量社區的“產出”:
分布(DAO 的影響范圍有多大)
機會(DAO 的成員有多少機會接觸到機會)
資本(部署了多少資本)
根據 DAO 的類型,產出的值會有很大差異,例如:
協議 DAO:此處的指標將特定于協議,例如:
DeFi -> 總價值鎖定
L1/L2 區塊鏈:獨特的錢包、交易量
消費者應用程序:產生的收入
服務 DAO:通過服務產生的總收入
社交 DAO:收藏品金庫、會員收入
投資 DAO:投資回報率 (ROI)、AUM(管理資產)
媒體 DAO:覆蓋 DAO 的頻道,如 Podcast、Newsletter 等
總體而言,機會、分布和資本之間的比例在很大程度上取決于 DAO 的類型。對于 Media DAO,分布(影響力)占比非常高,而對于Investment DAO,資本比例非常高。
除 GDP 外,就業、外國直接投資、國民總收入指數等各種其他指標也決定了一個國家的健康和財富。同樣,讓我們看一些有趣的社區指標來衡量社區的健康狀況及其估值:
貢獻者等級:
人均 GDP(代表個人的收入方式)→ 平均/中值社區收入
幸福指數(代表公民的幸福程度)→ NPS(凈推薦值)、社區效用滿意度(CSAT)、社區的視覺感知和一致性
就業水平→活躍貢獻者的百分比,保留水平
DAOrayaki注:這里的Retention Level 指的是員工保留。員工保留是是20世紀早期和中期的經濟的發展概念。保留被定義為公司確保其員工不會辭職的過程。每個公司和行業都有不同的保留率,這表明在固定時期內留在組織的員工百分比。
網絡活動:
一個經濟體的活動由GDP、制造業指數等指標決定。同樣,我們可以衡量指標,例如交互對、平均響應數、每個對話的 TAT(周轉時間)、話題起始者(每日、唯一)、

隨著市場上推出如此多的 DAO,以競爭優勢的形式保持護城河將成為估值的最大驅動力之一。社區或 DAO 的轉換成本非常低。一個特定的人可以是許多社區的一部分,這當然可以給數字灌水。此外,這些人可以輕松地在社區之間切換。雖然代幣確實會造成一些摩擦,但同樣有許多 DAO 和項目空投,它們可以很容易地奪走社區的用戶群。

那么,社區可能的護城河是什么?讓我們討論一下:
網絡經濟:隨著新用戶加入網絡,每個用戶的服務價值都會增加。網絡經濟是 DAO 有潛力超越傳統同行的地方。這可能是成功的 DAO 最堅固的護城河。網絡經濟的一個很好的例子是 Instagram,每當你的一個朋友加入時,它對你來說就變得更有價值,因為你可以和他們交談,看看他們在做什么。DAO 建立在直接將創新協議與貨幣(代幣)相結合的加密網絡之上,增強了其網絡效應。對于 DAO,用戶就是所有者,每次其他人加入 DAO 和/或使用協議時,理論上用戶的代幣都會變得更有價值。此外,隨著 DAO 變得更強大,更多的人在它之上構建,這使得它變得更強大,吸引更多的人,等等。例如,Solana 平臺網絡效應,正如Windows的金融效應。一旦 DAO 興起,就很難逆轉。
轉換成本:客戶預期的價值損失是因轉向替代供應商進行額外采購而產生。這是一個棘手的問題。一方面,DAO 成員會產生轉換成本,因為他們在一個 DAO 中擁有的代幣如果轉換到競爭 DAO 可能會變得不那么有價值,對分叉的恐懼無處不在。例如,SushiSwap 是從 UniSwap 分叉出來的,因為所有代碼都對世界完全開放——這意味著 DAO 可以很容易地被精確復制。雖然這作為護城河的得分很低,但低轉換成本是 DAO 的一部分:它創造了一種有趣的動態,在這種動態中,協議之間不斷競爭以保持其利益相關者的快樂和良好的補償。如果 DAO 做了一些成員不同意的事情,這些成員可能很快會流失。Moloch DAO 獎勵贈款以推進以太坊生態系統,甚至內置了“憤怒退出”機制,如果成員不同意特定的社區決定,可以通過該機制憤怒退出并撤回其代幣。
品牌:從有關賣方的歷史信息中產生的客觀相同產品的更高價值的持久歸因。某些品牌能夠為同一商品收取更高價格的部分原因是人們將自己的身份與這些品牌聯系在一起。攜帶路易威登手袋與普通手袋不同。同樣,人們會將他們的身份與他們所貢獻的成員和他們擁有的 DAO 聯系起來。如果您將 Solana 視為 DAO,請考慮所有身份與擁有 Solana 相關的人。他們愿意免費推銷 Solana、買入并抨擊非信仰者。
壟斷資源:以有吸引力的條件優先獲得可獨立提升價值的令人垂涎的資產。DAO 的社區是其被壟斷的資源。盡管許多 DAO 雇用或以其他方式補償人們的貢獻,但在許多情況下,人們為 DAO 做出貢獻只是為了使其或構建它的區塊鏈更有價值。Moloch DAO 從其成員自己匯集的 ETH 中提供贈款,以使 ETH 更有價值,并可以提交提案以做免費工作以使以太坊變得更好。這些工程師的時間是獨立寶貴的。
就像產品根據其用戶旅程具有一系列指標一樣,我們可以根據貢獻者在社區中的旅程觀察一系列指標:

總之,通過向 DAO 的用戶、貢獻者和更廣泛的利益相關者生態系統提供經濟激勵,并讓這些利益相關者在 DAO 的治理中擁有發言權,DAO 有機會建立非常強大的護城河。最強的是網絡效應——一旦 DAO 達到一定的增長速度,就很難將其拆除,特別是考慮到社區治理意味著它應該能夠以社區認為將創造最長久的方式適應和發展長期價值。
也就是說,DAO 應該警惕使用這些護城河讓自己變得太舒服。他們不應該榨取太多價值,向太少的利益相關者授予太多權力,行動太慢,或者做任何其他可能激怒足夠多的社區成員的事情。如果DAO社區這樣做,將會是給別人機會。分叉的威脅永遠存在。這是適者生存。

并購:
在 2021 年底,我們看到了最大的 DAO 合并之一,Rari Capital(DeFi 協議)和 Fei 協議(算法穩定幣)合并形成了一個 20 億美元的流動性參與者,并整合到一個單一的治理代幣——TRIBE,這是 Fei 的 治理代幣。隨著我們的前進,我們可以看到更多這樣的并購發生,估值框架變得至關重要,DAO 的所有利益相關者都可以使用它來進行相應的評估和投票。“協同效應”的另一個因素,即各種社區/DAO 如何從合并后的實體中受益,將是一個有趣的考慮因素。
結論:高估還是低估?
一個好的估值總是包含一個故事,是故事和數字之間的橋梁。估值中的每個數字背后都有一個故事,每個關于公司的故事都必須附有一個數字。例如,Uber 作為一家城市汽車服務公司,最初的估值為 60 億美元。然而,當定位為物流公司時,估值升至 530 億美元。同樣,Web3 社區的估值在很大程度上取決于社區的故事和愿景。
“估值不僅僅是一個數字,還有一個故事”——Ashwath Damodaran

原文作者:Yash Agarwal
貢獻者:Demo,?DAOctor?
審核者:DAOctor, Yofu
原文:How?to value a community?——DAO Valuation Frameworks
頭條 ▌SBF提出推文上鏈等多條建議以去中心化Twitter4月14日消息,FTX創始人SBF對去中心化Twitter提出了一些想法: 1. 推文上鏈,加密:發文者選擇誰有權訪問它們.
1900/1/1 0:00:00頭條 ▌V神:自己對以太坊的影響力不斷下降金色財經報道,以太坊聯合創始人Vitalik Buterin聲稱他對以太坊的影響力“不斷下降”,并表示他今天的影響力比六個月前要小.
1900/1/1 0:00:00近日,美國《福布斯》雜志發布了最新的“2022 邁達斯榜單”(Midas List)。榜單名取自能夠點石成金的邁達斯(Midas)王神話,又被稱為“金手指”榜單,素有投資界奧斯卡之稱.
1900/1/1 0:00:00據PancakeSwap數據顯示,ADAMoracle生態通證ADAM突破10美元,24小時漲幅超30%.
1900/1/1 0:00:00據不完全統計,截止目前,ConsenSys、a16z、Delphi Digital、Coin Center等均已提交對于美國SEC交易法草案的反對意見.
1900/1/1 0:00:00深度 行業律師表示,此案是中國NFT侵權第一案,對NFT領域的知識產權合規和維權有著非常重要的借鑒意義.
1900/1/1 0:00:00