BTC/HKD-1.72%
ETH/HKD-3.32%
LTC/HKD-0.19%
ADA/HKD-1.12%
SOL/HKD-1.61%
XRP/HKD-0.98%從數學角度論證和解釋 Uniswap 創始人與 Paradigm 研究團隊設計的全新做市模型 TWAMM 的工作原理。
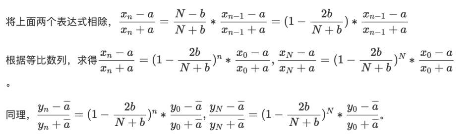
最近,Paradigm 研究合伙人 Dave White、Dan Robinson 與 Uniswap 創始人 Hayden Adams 一起合作設計了一個全新的做市模型「時間加權做市商 TWAMM」(The Time-Weighted Average Market Maker)。根據其發表文章介紹,TWAMM 可以在以太坊上有效地交易大額訂單,工作原理是將長期大額訂單分解為無限多個無限小的虛擬訂單,在一定時間內使用嵌入式 AMM 平滑地執行這些交易。
關于 TWAMM 的虛擬交易所涉及的數學,Dave White 在文中并沒有多費筆墨,只在最后給出了非常簡單的數學結論,這對于理解 TWAMM 的數學原理非常不利。本文將重點對 TWAMM 的數學原理進行嚴格的論證和解釋,至于 TWAMM 模型詳細的設計原理,可以前往 Paradiagm 官網查看,本文不再做詳述。
美國眾議院議長麥卡錫:債務協議仍有一些工作未完成:5月27日消息,美國眾議院議長麥卡錫對記者表示,我們還沒有就債務上限達成協議,仍有一些事情未解決。會在時機成熟時達成債務上限協議。美國財長耶倫提出的新的X日日期(6月5日)不會改變任何事情。麥卡錫還表示國會可在6月5日的截止日期前完成工作。[2023/5/28 9:46:34]
假設 TWAMM 執行大額虛擬交易需要 N 個區塊,出售 X 的池子以每區塊 xrate 的速率出售,而出售 Y 的池子以每個區塊 yrate 的速率出售。因此,在整個期間售出的 X 總量為 xin=Nxrate,售出的 Y 總量為 yin=Nyrate。
同時,我們將此時間段嵌入 AMM 的初始儲備 xreserve 和 yreserve 分別表示為 x0=xammStart 以及 y0=yammStart。
元宇宙相關加密資產總市值超110.67億美元:金色財經報道,據coinmarketcap數據顯示,元宇宙相關加密資產總市值超110.67億美元,24小時跌幅為2.01%,24小時交易額約11.25億美元。當前市值排名前五的元宇宙通證分別是:ApeCoin(17.33億美元)、TheSandbox(13.05億美元)、Decentraland(13.01億美元)、THETA(10.96億美元)、AxieInfinity(10.44億美元)、和EnjinCoin(4.66億美元)。[2022/9/26 7:20:48]
按照 TWAMM 的設計,大額訂單是隨著區塊進行交易的,每個區塊出售 xrate 得到 yout,或者出售 xrate 得到 yout,同時 AMM 會更新 xreserve 和 yreserve 的值,整個過程總共交易 N 次。
以太坊L2網絡總鎖倉量回升至54.6億美元:金色財經報道,L2BEAT數據顯示,截至目前,以太坊Layer2上總鎖倉量為54.6億美元。近7日漲幅5.55%,其中鎖倉量最高的為擴容方案Arbitrum,約28.2億美元,占比51.82%。其次是Optimism,鎖倉量15.9億美元,占比29.18%。dYdX占據第三,鎖倉量4.66億美元,占比8.55%。[2022/9/10 13:21:44]
值得注意的是,AMM 的每個區塊交易總是遵循恒定乘積做市。

首先,在執行第 n-1 區塊的交易后,我們假設此時 AMM 的 xreserve 和 yreserve 值分別為 xn-1 和 yn-1。
WeMade CEO:預計韓國明年將解除對P2E游戲的禁令:金色財經報道,韓國視頻游戲開發商WeMade首席執行官Henry Chang在2022年韓國區塊鏈周上表示,韓國總統尹錫烈領導下的新政府可能會在2023年取消對區塊鏈和P2E游戲的禁令。Henry Chang說:“新政府在一百天前上臺,現任政府正在考慮(修改)法律以允許韓國的區塊鏈游戲。”
據悉,韓國游戲評級和管理委員會(GRAC)禁止任何基于區塊鏈的游戲在國內發布,理由是擔心這些游戲鼓勵投機。(Forkast)[2022/8/9 12:12:24]
接下來執行第 n 區塊的交易,X-Pool 和 Y-Pool 分別向 AMM 輸入 xrate 和 yrate,命:

CremaFinance:找到了黑客在黑客事件中使用的可疑discord賬戶:金色財經報道,CremaFinance在社交媒體上稱,根據合作伙伴提供的線索,我們找到了黑客在黑客事件中使用的可疑discord賬戶。我們正在與有關方面接觸,以獲得更多可能有助于偵查的信息。
金色財經此前報道,CremaFinance被黑客攻擊損失約880萬美元。[2022/7/4 1:50:09]
因為 xrate 和 yrate 非常微小,且區塊的交易 AMM 遵循恒定乘積做市商,我們可以得到,

化簡,

在得到 xout,n 和 yout,n 的值后,我們進一步可以獲得 n 區塊的交易后 AMM 的 xreserve 和 yreserve 值 xn 和 yn,

通過觀察,我們發現 xn*yn=xn-1*yn-1,這正好符合 AMM 的循恒定乘積做市的前提要求。
令, xn*yn=xn-1*yn-1=...= x1*y1=x0*y0=k,這是一個常數。
先對 xn 求得一般公式,并獲得 xammEnd=xN 的值,yn 同理。

yn 的分式線性遞歸表達式如下:

首先,若 yin 等于 0,xin 不等于 0,則


計算得到,

而,

xin 等于 0,yin 不等于 0 時,討論同上。
若 xin 和 yin 都不等于 0,對于一般的分式線性遞歸,我們可以采用不動點的方法求解。

進一步計算,

TWAMM 的基本假設是將長期大額訂單分解為無限多個無限小的虛擬訂單,也即是 N 可以取無窮大,這時候可以獲得 xN 的極限值。

其中,

相似的,

最后,經過簡單的驗證 xammEnd*yammEnd=xammStart*yammStart=k, 依然滿足 AMM 的恒定乘積。
至此,我們完成了 TWAMM 的數學原理嚴格的論證和解釋,并得到了與 「時間加權做市商 TWAMM」 一文完全相同的結論。
撰文:luffy
“Synthetix成DEX大額資產交易中間件,DEX大額交易開啟新篇章。作為金融樂高積木,DeFi 的可組合性帶來的空間可觀,你無法想象 DeFi 空間里這一群有意思的人會鼓搗出什么新鮮玩意來.
1900/1/1 0:00:00自年初Roblox在美國上市開始,元宇宙變成為了區塊鏈乃至互聯網產業中最熱門的賽道,各大巨頭紛紛布局元宇宙.
1900/1/1 0:00:00在他每月的加密技術專欄中,以色列連續創業者Ariel Shapira涵蓋了加密、去中心化金融和區塊鏈領域的新興技術,以及它們在塑造21世紀經濟中的作用.
1900/1/1 0:00:00前言:「WebX實驗室」始終在嘗試一件事情,即作為業態觀察者,將Web 3.0從Gavin Wood的一個前瞻性設想,梳理成一個系統且具象化的故事.
1900/1/1 0:00:00歐盟區塊鏈觀測站和論壇于3月6日發布了一份報告,該報告就如何更好地開發區塊鏈技術提出了建議,包括引進互操作性和可擴展性標準.
1900/1/1 0:00:00在周一的一篇推特帖子中,OpenSea宣布收購NFT市場聚合器Gem,價格未披露。OpenSea首席執行官Devin Finzer在一篇博客文章中表示,該公司采取這一舉措是為了改善其經驗更豐富的.
1900/1/1 0:00:00