BTC/HKD+0.11%
ETH/HKD+0.13%
LTC/HKD+0.14%
ADA/HKD-0.18%
SOL/HKD-0.34%
XRP/HKD-0.15%前言
之前,我們介紹了一種簡潔高效的「多方隱私集合求交協議」,該協議是針對多方隱私集合求交場景設計的,解決了基于兩方協議簡單擴展到多方時產生的數據安全問題,詳見前文《叮!多方隱私集合求交發來“會議邀請”》。
本文將介紹另一種使用廣泛的隱私計算技術--匿蹤查詢。匿蹤查詢顧名思義就是查詢方的查詢記錄是隱藏的,數據方不知道查詢方查了哪條數據。具體定義是查詢方向數據方發送要查詢的id,通過交互使得數據方返回給查詢方該id的對應信息,如果未查到則返回空,在整個過程中查詢方無法知道查詢id之外的數據,數據方也無法知道查詢方查詢的是哪個id。

加密貨幣衍生品交易所的未平倉合約創下100.86億美元的年內新高:金色財經報道,據鏈上分析師Ali監測,所有加密貨幣衍生品交易所的未平倉合約(即未平倉多頭和空頭頭寸的數量)剛剛創下100.86 億美元的年內新高。看來加密貨幣交易者利用近期跌至 28,700美元的機會做多, BTC可能很快就會跟進。[2023/8/9 21:33:28]
例如:現在有個股神,很多人都關注他炒股的一舉一動,把他關注的股票作為購買的參考,但是股神不想泄露這些信息以免影響股票價格,這個時候,股神就可以使用「匿蹤查詢技術」來查詢股票信息,保證他查詢數據時的隱私性。
知識點科普
不經意傳輸-OTOblivioustransfer????????????
Arbitrum bug導致網絡運行短暫延遲:金色財經報道,Arbitrum的排序器代碼中的一個bug導致網絡向以太坊鏈批量交易的能力出現短暫停頓。[2023/6/8 21:22:45]
不經意傳輸:接收方想要獲取發送方n個數據里的第i個,但是需要保證接收方只能拿到第i個數據,無法拿到其他數據,發送方也無法知道接收方拿的是第幾個數據。
從不經意傳輸的定義來看和匿蹤查詢是比較接近的,但是不經意傳輸是需要查詢者知道自己要查詢的數據是在哪個位置,通常情況下查詢者在查詢前是無法知道具體要查詢的位置。
隱私信息檢索-PIRPrivateInformationRetrieval?
隱私信息檢索:查詢方向數據庫請求查詢指定位置的數據,但需要保護查詢方的查詢位置不被數據庫感知。和不經意傳輸技術不同的是,隱私信息檢索是無需保護數據庫的隱私的,數據庫對于查詢方來說是公開的,相當于是安全性弱化的不經意傳輸。
FTX US法律顧問:正在調查與跨交易所合并FTX余額相關錢包異動:11月12日消息,FTX US法律總顧問Ryne Miller回應,正在調查與跨交易所合并FTX余額相關錢包移動的異常情況,其他移動事實暫不清楚,會盡快分享更多信息。
金色財經此前報道,Autism Capital發推稱,FTX內部人士很有可能正在試圖攜款潛逃,目前FTX和FTX US錢包現在都受到影響并將資產混合在一起,被轉移的金額約為3.8億美元,一些錢包被標記為fucksbf和fuckftxandsbf.eth,看起來好像是黑客攻擊。[2022/11/12 12:55:22]
除開安全性的區別外,隱私信息檢索的一個側重研究目標就是減少通信量,根據上面的定義可以看出隱私信息檢索的一種最簡單實現就是數據庫直接將所有數據發給查詢方,查詢方本地查詢獲取數據就行,但是這種方案效率太低了,特別是數據庫數據量比較大時,數據傳輸時間太長,長到查詢方的本地查詢時間都可以忽略不計。因此現在有很多研究都是建立在多數據庫服務副本的前提下去做查詢時數據傳輸量的優化,以減少查詢時間。
MetaMask Institutional與Gnosis Safe達成合作:6月28日消息,MetaMask Institutional(MMI)宣布,通過與多簽錢包GnosisSafe達成合作,MMI擴展了其加密貨幣托管產品,以集成DAO的托管選項,并為DAO提供了更易于訪問DeFi生態系統的全新方式。DAO更青睞GnosisSafe,因為其多重簽名功能,為DAO部署資金提供了額外的安全性。據悉,MetaMask Institutional是MetaMask錢包的機構兼容版本,為加密基金、做市商、交易平臺和DAO提供機構所需的安全、合規、高效的DeFi和Web3服務。通過MMI的DeFi和Web3投資組合儀表板,DAO可以全面了解其投資組合,業績,單個資產以及歷史交易記錄。[2022/6/28 1:36:19]
匿蹤查詢算法流程解讀
一種比較簡單的、實現匿蹤查詢的思路:先通過某種方法定位到要查詢的數據在查詢方數據集里的哪個位置,然后通過不經意傳輸技術根據這個位置去拿要查詢數據key對應的value。定位查詢數據位置的方法,有一種方案是通過執行隱私集合求交算法,這樣查詢方就可以定位到查詢數據對應的位置或者確定本次查詢是否命中了。
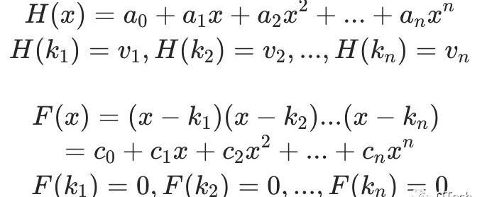
接下來介紹另一種基于同態加密和多項式的匿蹤查詢算法流程,查詢方擁有查詢數據q,數據方擁有鍵值對,,...,。
數據方將鍵值數據使用插值法構造出多項式H(x),將所有鍵看出x軸坐標構建出F(x),并生成隨機數r,計算出多項式G(x)=H(x)+r*F(x),易看出G(x)和H(x)的性質是一樣的,帶入鍵值對中的健可以算出對應值,帶入其他數據算出的就是隨機數了:

查詢方生成全同態加密的秘鑰對,將查詢數據q使用公鑰進行加密后,和公鑰一起發送給數據方;數據方使用公鑰將加密后的數據q帶入到F(x)和G(x)中計算,計算Enc(F(q))和Enc(G(q))并發送給查詢方;查詢方使用私鑰解密出F(q)和G(q),如果F(q)為0則說明查詢命中了,G(q)就是查詢到的數據,如果不為0則說明未查詢到數據,G(q)就是隨機值。正確性分析
通過基于鍵值對來構造多項式的方式來構造兩個不同作用的多項式,F(x)用于查詢方來判定該次查詢是否命中,G(x)用于查詢方在確定查詢命中后,拿到查詢到的數據。
安全性分析
對于查詢方來說:他的查詢數據是通過自己生成的秘鑰對中的公鑰加密后發送給數據方的,數據方是無法解開拿到查詢數據的,只能通過同態加密的性質進行計算。
對于數據方來說:他的數據未直接發送給參與方,而是將加密后的查詢數據帶入到多項式中進行同態計算,再將兩個多項式分別計算后的結果發送給查詢方,查詢方未拿到其他數據的相關信息,也就無法進行反推。
總結
「匿蹤查詢」本質是在傳統的key-value查詢的基礎上,加入了隱私保護,使得查詢方無法拿到數據方其他數據,數據方也無法知曉查詢方查的是哪個key,實現了雙向隱私保護,且可以通過提前hash取模分桶預處理的方式,在數據量比較大的時候通過離線預處理操作可以極大提高在線查詢時的效率,能做到毫秒級響應,在金融、政務等跨機構數據共享計算的實際場景中有廣泛應用前景。

Fastprivatesetintersectionfromhomomorphicencryption.
Tags:FTXIONDAOMASMINUTE Vault (NFTX)Fission CashBend DAOmask幣值得投資嗎
巴比特現場報道,在今日舉辦的2021CCF中國區塊鏈技術大會上,中央網信辦信息化發展局政策規劃處熊希賢發表致辭時分享了區塊鏈創新應用工作的幾點體會.
1900/1/1 0:00:00Maze:大家好!我們很高興在這里見面:DogDog,DogDogNFT的創造者,他受邀討論他激動人心的NFT旅程,關于在NFT時代成為加密藝術家的任何你需要知道的事情!DogDog:大家好.
1900/1/1 0:00:00人工智能和機器學習正在驅動著創作力,數字藝術一次次迎來跨越想象力邊界的作品。回顧2021年,NFT數字藝術品以及數字藏品受到熱捧,藝術品的數字載體和實現方式也備受關注.
1900/1/1 0:00:00據U.Today1月11日報道,基于區塊鏈的網絡漫畫平臺TooNFT完成175萬美元融資,HGVentures、GBIC、Alphabit、AdaptiveLabs、MindfulnessCap.
1900/1/1 0:00:00原標題:《為DAO工作》歡迎來到DAO生活!在這一版中,我們探討了如何成為一名全職的DAO貢獻者。如果您有朋友想知道如何選擇DAO、如何建立聲譽或如何獲得報酬,我們將為您提供答案.
1900/1/1 0:00:002021年12月26日,視覺中國旗下視覺藝術數字藏品平臺——“元視覺”正式上線。標志著視覺中國“區塊鏈+”戰略正式落地,正式進入2C的數字藏品賽道.
1900/1/1 0:00:00