BTC/HKD-0.33%
ETH/HKD-1.56%
LTC/HKD-0.68%
ADA/HKD-1.93%
SOL/HKD-1.59%
XRP/HKD-1.26%老子曰:“人法地、地法天、天法道、道法自然”。在區塊鏈的實踐中,由于是建立Code is Law的體系,遵循 In Math We Trust 的法則。在一個不受個體控制的網絡,遵循自然的法則尤其重要。我提倡Filecoin的設計從簡、自然。也是這個道理。
自然常數 e,是一個神奇的數,在數學中又極為自然。本文講一講 Filecoin 的共識機制的實現進化與自然常數 e 的關系。
初期預期共識空塊率過高:1/e
預期共識的實現是一個不段發現的過程
tipset區塊數預期提升(至5),安全性和效率的兼顧
讓每一個字節都參與投票:優雅的密碼抽簽 + e
[預警:數學、概率與分布]
e 被成為自然常數,在數學家的眼里,這個常數非常自然。但是,對于普通人而言,對于 e,由于沒有形象化的描述,就很難理解。本文通過 e 在 Filecoin中的應用,希望能夠找到一些點,能夠幫助大家 1)了解Filecoin的一些設計;2)通過 Filecoin 得到一點 e 的形象化的描述和印象。
常見的比較復雜的有意思的數學常數有兩個,一個是 π,一個是 e。大家對π 都非常熟悉,因為它有一個非常形象化的名字,叫圓周率,也就是說是任何一個圓的周長和直徑的比值。非常形象,非常容易理解。小學不學的話,初中總會學到了。
中國工程院院士:區塊鏈等為構建自然資源調查監測體系提供技術支撐:中國工程院院士、自然資源部國家基礎地理信息中心教授陳軍表示,近年來,大數據、人工智能、5G、區塊鏈、知識圖譜、空間信息等高新技術的迅猛發展和交叉融合,為構建自然資源調查監測體系提供了必要的技術支撐和保障條件。(光明日報)[2020/9/16]
其實 e 是與 π 同等重要的一個數學常數,在數學中的使用一點也不比 π 少。比如就在我們今天所討論的 Filecoin 區塊鏈中,e 在很多地方被使用,而 π 則不然,基本上沒有被用到。
π = 3.1415926535897......
e = 2.718281828459045......
π 和 e 同為超越數,即不是代數數(有理數方程的解),當然也是無理數,無限不循環小數。
但其實,e 和 π 在數學中有非常緊密的關系。甚至可以說,e 就是 π 的另一種表示方法。為什么呢,請看最優雅數學公式 - 歐拉公式:

為什么優雅,這個一個簡單的公式把數學中的5個元素(0, 1, i, π, e)十分簡單地統一在一起了。就像物理學家希望統一力場一樣,數學家也有把總結簡潔規律的偏執。
聲音 | 加密節目主持人:對未來幾代人來說 使用加密貨幣是很自然的:據AMBCrypto 7月4日消息,英國加密節目主持人Peter McCormack近日在接受采訪時表示,比特幣改變了貨幣的本質,且其運行得更好,人們從政府那里拿走了一些權力。對于未來幾代人來說,使用加密貨幣將是非常自然的。[2019/7/4]
這個公式也表達了 e 和 π 的簡單直接的關系。當然,他們之間還有一些有意思的關系,比如:

但是,這些仿佛把事情更加復雜化了,對于 e 本身的理解并沒有幫助。到底 e 是什么呢?數學中會講,e 是自然對數的底,它的一個總要特點就是 e^x 的導數還是 e^x,同時,e 可以通過下式來表達和計算:

稍微形象一點的表達,就是在復利的計算上,e 表達一個在一段時間內翻倍增長的利率,進行極限的連續復利計算能夠達到的極限值。也就是說,如果年利率是100%,你如果無限細分一年到 n 個時間段,那么每個時間段的利率為 1/n,而最終你能得到的連本帶利的收入為 e 倍,也就是2.7倍多一些。
聲音 | 社保基金王忠民:發展自然人和法人的自身信用是區塊鏈應用的最好邏輯:據騰訊財經消息,全國社會保障基金理事會原副理事長王忠民在出席區塊鏈行業論壇時表示,中國金融市場當中最薄弱的地方是你的信用你沒有作主,信用被錯配,錯配到行政主體去,如果在這個區域里面發展中國的市場,區塊鏈用來發展自然人和法人的自身信用,而用信用可以無限成長,無限發展,無限有用,才是區塊鏈在這當中應用最好的邏輯。[2018/10/17]
這仍然不夠形象,那么下面映射到 Filecoin 的共識機制來看一看。
先來復習一下Filecoin白皮書里面描述的預期共識。在go-filecoin的早期實現中,采用的是簡單的預期共識,也就是說,每一個礦工按照自己的算力與總算力的比來獲得出塊權的概率。因為所有礦工的算力之和等于總算力,所以系統每一輪的總出塊概率的期望值為 1。簡單來說,就是每一輪平均出一個塊,但是,每個礦工獨立計算,因此,每一輪的出塊數可能是各種各樣的。
那么在這種情況下,我們建立一個簡單(也是有效的)模型來進行一個推演。假設系統中的礦工數為 n,每個礦工的算力占比為 1/n,那么,每一輪呢每個礦工的出塊概率為 1/n。
這樣,一輪中出現空塊的概率為:

金色財經獨家現場報道|丹華資本創始合伙人張首晟:區塊鏈是結合自然科學和社會科學的技術:在硅谷2018全球區塊鏈投資峰會上,張首晟表示:“區塊鏈是結合自然科學和社會科學對技術。”張教授用物理學的角度獨家解讀了區塊鏈技術,他表示所有的東西由電子組成的,電子的之間是沒有共識的,但冰箱貼的南極和北極達成一致,所以才能貼在冰箱上,共識的貨幣的核心價值,貨幣的內部價值是共識。[2018/3/31]
如果 n 足夠大,那么,可以求得:

也就是空輪的概率超過三分之一,這個就太高了。
那么出塊數為 1 的概率有多大呢,可以簡單做如下計算:

仍然只有三分之一多一點。剩下的不到三分之一的概率都是多塊的輪次。這個結論與開發網當時的測試是完全吻合的。
從這里,我們找到了一個對于自然常數 e 的一個更形象化的解釋,那就是:在一個有很多人(大數)參與的獨立投票選舉中,每個人的贏得選舉的概率相同,同時預期贏得選舉人數為1的情況下,不能得出選舉結果的概率為 e 的倒數,也就是 1/e。
世界自然基金會開發區塊鏈解決方案 提高金槍魚供應鏈透明度:澳大利亞、斐濟和新西蘭的世界自然基金會已經聯合起來,用區塊鏈技術打擊金槍魚捕魚業的非法捕魚和奴隸勞動。通過與美國軟件公司?ConsenSys?和信息通信技術公司TraSeable合作,世界自然基金會得以更好的幫助金槍魚捕撈行為,并使用區塊鏈技術追蹤金槍魚從捕撈到分發至經銷商的全過程。[2018/1/8]
開發網出現的空塊率過高的情況,我們做了模擬,并與Filecoin研究開發團隊進行了討論。顯然,這么高的空塊輪次比例是不好的,這是的區塊時間不固定,交易時間預測起來也比較困難。
那么,一個簡單的改動是什么呢?那就是增加每一輪的區塊預期數量。因為預期共識本來一輪就可能出現多個區塊,在實現中采用tipset的方式進行組合,那么增加區塊的預期數量,對于設計實現而言非常簡單。
在測試網之前,Filecoin實現引入了預期每輪區塊數這個概念,這個被定義為 E (ExpectedBlocksPerEpoch)。當前默認:E = 5
既然,預期區塊數提高了,最簡單的方法就是把每個礦工的出塊概率提高5倍。但是,礦工出塊的計算采用擲骰子的方式。也就是產生一個 256 位空間中的一個數,來比較自己的算力占比,從而判斷是否擁有出塊權。這里就有一個數據越界的問題。Filecoin的實現在這個判斷上走過三個階段:
階段一:每個礦工按照自己的算力再進行切分,分別按照更小的份額進行選舉,如果贏得選舉就獲得一票。相同默認算力都按照每 25 個 sector來進行統一切分(剩余部分單獨算)。這個辦法的好處是每一個選舉人算力都基本一樣,進行公平選舉。但是,由于每25個sector都要進行單獨計算,每一個部分都需要I/O訪問,時間消耗較大。Filecoin團隊的最初目的是把這個出塊權和時空證明放在一起。但是,最后從安全的角度來考慮,由于計算相對復雜,還是放棄了。
階段二:直接極致簡化,不考慮越界的問題,直接乘以5進行比較計算。這個是在時空證明已經通過WindowedPoSt替代 SurprisedPoSt的情況下的一個簡化措施。但是,這樣做有兩個問題:1)對于算力大于 20% 的礦工肯定是吃虧的;2)當礦工算力足夠大時,一定能夠贏得選舉。這第二個問題比較嚴重。我們慎重提出,這是一個安全問題,應該改。
階段三:采用密碼抽簽的方式,借鑒Algorand采用的算法。逐漸走向完善。
Algorand的密碼抽簽是一個非常好的概率分布在選舉上的應用,對于區塊鏈POS網絡而言,非常棒。實現起來比較簡單直接。其具體算法如下:

這里不做詳細解釋,需要的人可以查詢相關資料。簡單地說,就是在POS選舉過程中,當你憑借自己產生的可驗證隨機數進行抽簽的時候,可以通過你自己的份額和相應二項式分布來看你落在哪一個區間,從而判斷你獲得了多少選票。
二項式分布是 n 個相同概率的獨立時間單獨計算而后相加的一個分布,而且整個分布正好切分整個概率空間。因此只需要看你的可驗證隨機數在那個空間就可以了(這個部分比較難說清楚,有意者線下探討)。
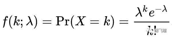
那么對于Filecoin而言,參與選舉的份額就是你的算力。如果按照前文中說的階段二的方式,可以再進行細分,那么可以考慮為每一個字節都參與投票。這樣一來,參與投票的選舉人數量非常大,整個計算不用采用二項式分布,完全可以采用泊松分布來進行計算。泊松分布的計算公式如下:

這里 λ 是自己的份額與預期總選舉票數的乘積。在Filecoin中,它就是
E * mPow/totPow;k 是獲得選舉權的數量。
看一下上式,是不是很神奇?自然常數 e 再一次用到了 Filecoin 的選舉的計算之中。采用泊松分布進行計算是 Filecoin 的一個改進,非常符合Filecoin的特點,同時計算也非常簡單。
采用密碼抽簽之后,就不能保證每一輪都一定會有礦工拿到出塊權了,這很正常,因為每個人都自己擲骰子,出塊權的計算是獨立的。這樣的話,實際上每一輪贏得不同的出塊選票的概率有多大呢?簡單做一個模擬可以得出下表:

這里空輪的概率是 e^-5。
也就是說,預期大約不到200個高度就會出現一個空輪。看起來還好。而每輪選票數為 3,4,5,6,7分布較多也比較均勻。選票數高達15張的情況也不少,大概萬分之1.6。
看到這里(如果你真的有耐心看到這里),您可能會想,e是不是與概率的關系比較大,其實我可以告訴你,π在有些時候也會用到概率計算之中。因為這兩個常數就是有牽扯不清的關系。
自然常數 e 在選舉之中的使用,至此顯得非常自然,而且也比較優雅。
同時,Filecoin在Token釋放上,也利用 e 進行計算。這個與概率無關,而是與衰減有關。Filecoin 不采用周期性減半的方式進行Token釋放,而是模仿放射性衰減,也就是指數衰減。白皮書設計為6年減半。而一般說來,衰減的公式可以寫為:

上式可以理解為:初始Token為 N0,隨時間推移,系統通過釋放,在 t 時間點系統中還應該保留的Token量N(t)的計算公式。
看這里,再一次出現了自然常數 e。當然這里不一定非要用 e 的。但是由于 e 的使用非常廣泛了,用起來方便順手。所以基本上現在這是一種統一的用法。
Tags:ECOINCOINOINCOI3X Short Dogecoin TokenzyccoinOKEYCoinDii Coin
金色財經 區塊鏈8月3日訊 聚合平臺就是這樣一個能夠與用戶形成直接關系的平臺,可以用零邊際成本為用戶提供服務,并通過供需之間的良性循環來降低用戶獲取成本.
1900/1/1 0:00:00為更好了解全球區塊鏈產業2020年7月發展狀況,01區塊鏈聯合零壹智庫、數字資產研究院,從區塊鏈投融資、主流加密數字貨幣行情、政策導向、國內產業發展動態及全球要聞等維度.
1900/1/1 0:00:00金色財經近期推出金色硬核(Hardcore)欄目,為讀者提供熱門項目介紹或者深度解讀。DeFi生態系統正在迅速發展。盡管世界正走向本世紀最嚴重的經濟衰退.
1900/1/1 0:00:007月28日早間,比特幣行情大漲,持續突破11000美元。隨后,“比特幣牛市”登上微博熱搜榜。 金色財經數據統計顯示,最新成交價格為人民幣77165元,漲幅10.08%,24H成交額為581.22.
1900/1/1 0:00:00本文主要討論使用區塊鏈智能合約和數據倉庫安全共享去中心化數據。Alice和Bob想雙方相互共享數據,但不是以傳統集中的模式進行.
1900/1/1 0:00:00最近一段時間,關于NFT(非同質化通證)的討論此起彼伏,NFT帶有金融屬性,有投機的空間人們的熱情就會調動起來.
1900/1/1 0:00:00