BTC/HKD-0.03%
ETH/HKD-1.97%
LTC/HKD+0.82%
ADA/HKD+0.74%
SOL/HKD+1.25%
XRP/HKD-0.73%上一篇主要描述了PLONK協議里的一個核心部分,用置換校驗的方法去證明電路門之間的一致性;接下來,將繼續分享如何證明門的約束關系得成立,以及整體的協議剖析。
門約束
舉個簡單的例子,假如存在一個電路,電路中僅有3個乘法門,對應的約束如下:
L1*R1-O1=0
L2*R2-O2=0
L3*R3-O3=0
進行多項式壓縮:定義多項式函數L(X),R(X),O(X)滿足:
L(1)=L1,R(1)=R1,O(1)=O1
L(2)=L2,R(2)=R2,O(2)=O2
L(3)=L3,R(3)=R3,O(3)=O3
此時,定義新的多項式函數F(X),令F(X)=L(X)*R(X)-O(X)
則有:
F(1)=L(1)*R(1)-O(1)=0
F(2)=L(2)*R(2)-O(2)=0
F(3)=L(3)*R(3)-O(3)=0
也就是表明:如果多項式函數F(X)在X=1,2,3處有零點,則說明門關系約束成立。
多項式函數F(X)在X=1,2,3處有零點則表明多項式F(X)可以被(X-1)(X-2)(X-3)整除,為了和論文一致,我們把這個多項式函數設置成Z(X),即:
iExec 與微軟 Azure達成合作,利用 SGX 來保護機器學習代碼和數據:11月5日消息,分布式云計算平臺 iExec 云算寶與微軟云計算平臺 Azure 就發展“機密計算”達成合作伙伴關系,iExec 利用英特爾軟件防護擴展(SGX)來保護機器學習中的敏感代碼和數據。iExec 信息安全總監 Zhang Lei 談到:Azure 機密計算通過保護使用中的數據有效地解決了安全問題。iExec 利用英特爾 SGX,使珍貴數據在廣泛共享和使用的同時,還能保護其隱私和所有權。iExec 將這些獨特的功能結合在一起,使人工智能開發者能夠保護他們的知識產權,同時為人工智能開發者創造新的經濟機會。[2021/11/5 21:28:36]
F(X)=T(X)*Z(X)==>T(X)=F(X)/Z(X)
如果能證明T(X)是一個多項式,則說明多項式F(X)與Z(X)有相同的零點,進而說明門約束關系成立。
一般過程應該如下:
1.P計算F(X)并把F(X)發送給V;
2.V根據Z(X)直接校驗F(X)/Z(X)
但是如此過程存在兩個問題,一個是復雜性問題,假如F(X)的階為n,那通信復雜度就是O(n);而是安全性問題,多項式F(X)完全暴露給V。
那應該如何解決這兩個問題呢?最佳的答案可能就是:多項式承諾
學習時報:區塊鏈等信息化工具在疫情防控中發揮重要作用:學習時報發文表示,在中國的疫情防控中,有效發揮了人工智能、大數據分析、機器人、北斗系統、健康碼、區塊鏈、智慧城市、無人機等信息化工具的作用,充分彰顯了科技向善的力量,這些經驗可與世界交流借鑒。我們應集中全球科學資源,與世界知名的制藥公司、研究機構加強科技交流,聯合加強疫苗、藥物、快速檢測試劑盒研究研制。[2020/3/20]
多項式承諾
什么是多項式承諾?就是證明方P用一個很短的數據來代表一個多項式F,這些很短的數據可以被驗證方V用來驗證多項式F在某一點的值確實為證明方P聲稱的值z。
具體看一下論文里的定義:

由圖可知:
1.Setup:初始化,生成計算多項式承諾需要的一些必備參數;
2.Commit:計算多項式承諾,其結果是一個值;
3.Open:返回與多項式承諾對應的多項式函數;
4.VerifyPoly:驗證多項式承諾是否和多項式函數一致;
5.CreateWitness:證明多項式函數在某一點的值是否是證明方P聲稱的值,具體的數學方法就是:判斷多項式是否能被整除,即:
聲音 | 江卓爾:熊市宜早睡、健身、屯幣、裝死、反省、學習、練內功、少折騰:萊比特礦池江卓爾發微博稱,熊市宜早睡、健身、屯幣、裝死、反省、學習、練內功、少折騰。[2018/12/28]
6.VerifyEval:驗證方V驗證多項式函數在某一點的值是否是證明方P聲稱的值,具體的數學方法是:利用雙線性配對驗證其數學乘法邏輯關系。
繼續回到我們上面的問題:
證明方如何證明:T(X)=F(X)/Z(X),我們再簡化一下場景,就令Z(X)=X-1,則:
T(X)=F(X)/(X-1)==>T(X)*(X-1)=F(X)==>T(X)*X=F(X)+T(X)
對應多項式承諾的協議可知:證明方P其實是想證明多項式函數F(X)再X=1處的值為0,因此根據協驗證方只需要證明:
e(Commit(T(x)),x*G)=?e(Commit(F(x))+Commit(T(x)),G)(雙線性配對的性質)
可以看出,利用多項式承諾的數學工具,既可以實現復雜度的優化,又可以實現隱私保護。
協議
接下來分析一下完整的PLONK協議:
Relation

加密貨幣投資人暴走恭親王:加密貨幣的投資,需要花時間學習和了解項目:今日凌晨,著名加密貨幣投資人暴走恭親王發布微博,稱:對于新人而言,我個人的建議是利用這段時間可以多學習行業的知識,我始終認為你只有對行業越了解,你才能對于行業越有信心。如果你對數字貨幣不了解,對參與的項目不了解,對全球發展趨勢不了解,那么群里只要有一些風吹草動,你馬上就會心中生出無數的疑慮,并且很快會在謠言中作出很多讓你可能抱憾終身的決定(這種決定我也做過)。很多人希望在群里面充值信仰,我個人覺得很難,如果你真的能夠把時間花在學習和了解知識以及項目上,那真的可以讓你握住自己的幣。發文疑似是對周末“過山車”行情的觀點表達,他也表示發文是“關于幣本位和充值信仰”。[2018/3/19]
上圖表示了PLONK算法里,要證明的一種關系,需要說明的是:
1.w代表著電路里的輸入、輸出,總共3n個,n是電路里乘法門的數量,每個門都有左輸入,右輸入和輸出,因此w總共有3n個;
2.q*代表著選擇向量,它的取值對應這這個是乘法門,還是加法門等類似的約束類型
3.σ代表著置換多項式,其表示門之間的一致性約束索引
4.倒數第一個公式代表門之間的約束成立
5.倒數第二個公式代表門的約束關系成立
CRS&P_Input&V_Input
Algorithmia公司推出基于區塊鏈的機器學習合約DanKu:算法公司Algorithmia于本周二推出了基于區塊鏈的機器學習合約DanKu。DanKu是一個可以評估被提交模型的神經網絡,以太幣獎勵獲勝者。[2018/3/1]

上圖表示了PLONK算法里的CRS設置,以及證明方P和驗證方V的一些輸入,需要說明的是:
1.整個協議都是基于多項式的,因此需要構建對應的多項式形式。
2.多項式σ的階是3n的,由于和多項式承諾相關的CRS最高的階位n+2,因此需要把σ拆分成3個多項式S,分別記錄每個多項式的置換關系(L,R,O);
3.為了減少通信復雜度和保護隱私,協議基于多項式承諾構建,因此驗證方V的輸入都是承諾值。
Prove

上圖表示了PLONK算法里證明方的一些操作,需要說明的是:
1.b1,...b9是隨機數,從用法看是為了安全,但是我暫時也沒明白,不加這個隨機數,又會有什么安全問題?
2.a(X),b(X),c(X)分別是代表了電路里的左輸入,右輸入和輸出
3.,,表示多項式的承諾值,參考多項式承諾小節里的承諾計算方法

上圖表示了PLONK算法里證明方的一些操作,主要是置換校驗,參考第一篇的置換校驗的協議過程,生成多項式z(X),需要說明的是:
1.β和?都是用來生成置換校驗函數的參數,詳見第一篇里f`(x)和g`(x)的生成過程;
2.z(X)的生成方式對應置換校驗里跨多項式的生成過程,Li(X)為拉格朗日多項式基,性質滿足,盡在x=i的時候為1,其他為0;
3.注意區分ω和w,ω是群H的生成元,是多項式的自變量的取值。w是電路的左輸入,右輸入和輸出,是多項式L,R,O在在群H上的取值。

上圖表示了PLONK算法里證明方P的一些操作,主要是把門約束和門之間的一致性約束組合到一起,通過α,需要說明的是:
1.根據前面的描述,門約束多項式和一致性約束多項式在群H上的所有元素都是取值為0的,因此都會被多項式ZH(X)整除,等同于上面所述的T(X);
2.因此,證明方只要能證明整除的結果的確是多項式,那就能證明,門約束多項式和一致性多項式在群H所有元素上取值為0,即所有約束關系成立,即電路邏輯成立;
3.可以知道的是t(X)的階最高為3n,但是用于計算承諾的CRS只到了n的級別,因此需要把多項式t(X)拆分,然后單獨計算承諾值。

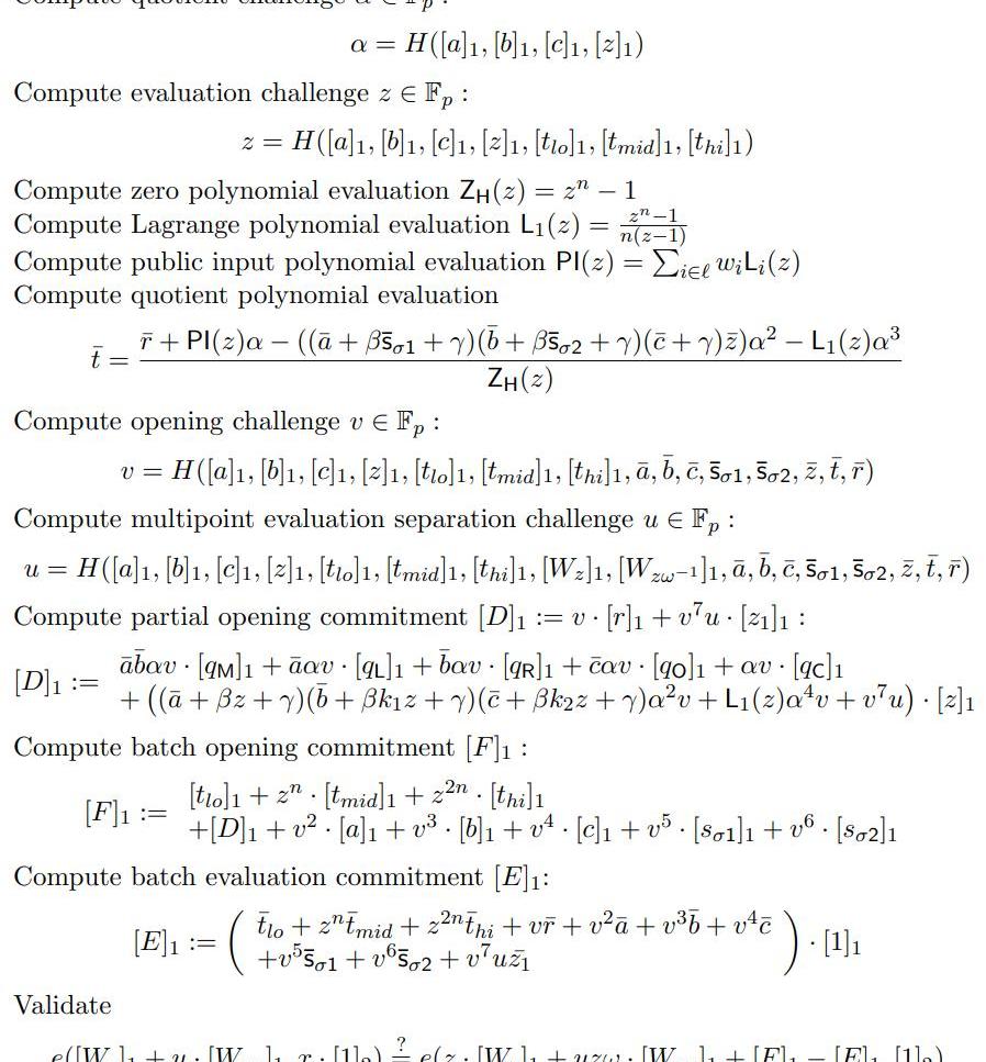
上圖表示了PLONK算法了證明方P的一些操作,主要根據多項式承諾的協議,前面P算出了多個多項式在點x=z處的值是多少,現在要用多項式承諾協議去證明,這些計算是正確的,需要說明的是:
1.為了減少驗證方V的操作復雜度,t(X)的分子部分r(X)在x=z處的值,P計算好,然后驗證方直接驗證,其他的操作類似;
2.v的值看起來是為了更安全;
3.Wz(X)對應多項式協議里的CreateWitness操作,證明這些多項式r(X),a(X),b(X)等在x=z處的值確實等于r,a,b等,對Wzw(X)同理,并返回承諾值。
Verify
至此,證明方P的所有操作都完事了,接下來都是驗證方V的操作。

上圖表示了PLONK算法里驗證方V的一些操作,主要重新生成相關的參數,確保證明方P沒有作惡。需要說明的是:
1.從輸入看,比較清晰,就是一些公開的輸入和證明方P的證明輸出;
2.根據輸入,生成置換校驗過程中需要的一些參數

上圖表示了PLONK算法里驗證方V的一些操作,對于一些公開的,并且計算復雜度很小的多項式,其在x=z處的值還是需要自己計算,更為方便。需要說明的是:
1.根據證明方P的過程來看,驗證方V的核心工作就是驗證兩個多項式承諾;
2.兩個多項式承諾驗證需要兩個配對,可以通過一個參數組合成一個配對,即μ;
3.在驗證前,先計算Wz(x),Wzw(x)的分母在x=z處的值,兩部分,減數和被減數,分別對應,。μ作為系數的,就是對應Wzw(X)多項式的。
4.最后通過一個雙線性配對操作完成兩個多項式承諾的驗證。
結束
至此,PLONK算法的協議原理已全部分享完成,公式很密集,但是細分下來,又很有層次感。能堅持看完,已實屬不易。各位讀者有什么不同的簡介,還請指教,謝謝。
加密貨幣投資機構PanteraCapital在最新發給投資者的信函中表示,通過比較比特幣三次減半前后的價格走勢和供應量變化,預計比特幣價格將在2021年8月達到115,212美元的峰值.
1900/1/1 0:00:00據官方消息,預言機項目Chainlink使用以太坊域名服務ENS域名data.eth創建了鏈上預言機數據庫,每個單獨的喂價都使用一個子域名來命名.
1900/1/1 0:00:00近年來,中央及各地方政府相繼出臺了多項綱領性文件,以加速推動我國區塊鏈技術發展落地。據不完全統計,2020年以來,國家及地方層面共發布了179條區塊鏈相關政策,政策內容包括產業培育、落地應用、行.
1900/1/1 0:00:00本文來源:新浪財經 雙線資本CEO、有“新債王”之稱的杰弗里-岡拉克周一警告稱,在最近幾個月的瘋狂上漲之后,比特幣可能已變得過熱.
1900/1/1 0:00:0012月16日消息,英國金融行為管理局今日在其官網公布了一項針對現有加密資產業務的臨時注冊制度,允許已向FCA申請注冊的加密資產公司在2021年7月9日之前繼續交易.
1900/1/1 0:00:00作者:irishash,來源:彩云區塊鏈投機者認為,當比特幣價格上漲時,比特幣礦工將出售更多的比特幣.
1900/1/1 0:00:00