BTC/HKD-0.32%
ETH/HKD-0.72%
LTC/HKD+2.26%
ADA/HKD-0.41%
SOL/HKD-0.63%
XRP/HKD-0.08%uniswapV3一公布就引發廣泛關注。相對V2來說,邏輯和代碼都復雜一些。V3的核心是通過盤口區間提供流動性,解決LP提供流動性時的資金利用率的問題。什么是資金利用率?V3如何推導區間流動性的計算公式?如何理解流動性?如何計算swap費用?本文先從V3技術白皮書詳細分析開始。
先給出一些uniswap官方有關V3的資料:
V3官方介紹
https://uniswap.org/blog/uniswap-v3/
技術白皮書
https://uniswap.org/whitepaper-v3.pdf
智能合約代碼
https://github.com/Uniswap/uniswap-v3-core
https://github.com/Uniswap/uniswap-v3-periphery
推薦先認真查看技術白皮書,再看智能合約代碼,最后再對照官方介紹。理解了技術白皮書,代碼非常容易理解。在技術白皮書的第一章總結了uniswapV3的技術特點,最核心的概念是"ConcentratedLiquidity"。
資金利用率
先看看uniswapV2的資金利用率:

上圖為資金池中的x/y的量變化曲線。資金池中的當前價格在c點,并且假設會在a價格點和b價格點之間波動。從c點向a點滑動,消耗最大y_real,從c點向b點滑動,消耗最大為x_real。也就是說,當前價格c點,在a點和b點之間震蕩的話,最大只需要消耗x_real和y_real。理論上只要提供x_real和y_real就足夠了。而事實上,如上圖所示,在價格c點,分別提供了大于x_real和y_real的x和y。明顯可以看出,x-x_real和y-y_real的資金在這種情況下是永遠用不上的,也就稱為閑置資金。
移動投資平臺Titan主動管理型加密貨幣投資組合新增ALGO、LINK和UNI:9月29日消息,移動投資平臺Titan旗下主動管理型加密貨幣投資組合Titan Crypto新增ALGO、LINK和UNI。
此前8月消息,Titan宣布完成5800萬美元B輪融資,Andreessen Horowitz(a16z)領投,投后估值達4.5億美元。隨后Titan推出主動管理型加密產品Titan Crypto,包含一籃子主流幣。(FXStreet)[2021/9/29 17:14:05]
在這種情況下,資金利用率為x_real/x或者y_real/y。如果價格波動非常小的話,資金利用率是非常低的。uniswapV3就是嘗試解決資金利用率低的問題。想法比較簡單,所有資金可以只添加到某個區間,只添加到有可能價格波動到的區間范圍。如何在某個區間添加流動性并提供swap功能是uniswapV3的重點。先從VirtualReserves說起。
虛擬資金池(VirtualReserves)
uniswap的交易采用的乘積固定模型(x*y=k)。所謂的虛擬資金池(VirtualReserves),是指還在乘積固定曲線上,只提供某個區間流動性的資金池:

圖中的墨綠色的曲線就是虛擬資金池滿足的乘積固定曲線。事實上需要的資金的曲線如圖中的橘黃色。橘黃色的曲線公式如下圖:

Bill Miller旗下Miller Opportunity Trust:比特幣作為數字黃金具有巨大的上漲潛力:9月6日消息,知名基金投資大鱷Bill Miller旗下價值型基金Miller Opportunity Trust在周五的投資者更新報告中提到其比特幣敞口。在在半年報(截至2021年6月30日)中,該公司強調今年早些時候投資灰度比特幣信托(GBTC)時表示,“在本季度,隨著比特幣下跌,該信托基金的交易價格相對其所持標的資產比特幣出現較大折價,從而提供額外的上漲潛力。我們相信比特幣作為一種‘數字黃金’具有巨大的上漲潛力。黃金市值超過11萬億美元,而比特幣目前市值大約6000億美元,要趕上黃金還有很長的路要走。我們處于持續采用曲線的早期,比特幣將具有波動性,但我們認為風險回報是有吸引力的。”
據此前報道,根據8月27日向美國證券交易委員會提交的文件,Miller Opportunity Trust報告持有150萬份灰度比特幣信托(GBTC)。截至6月30日,總價值為4470萬美元。(The Block)[2021/9/6 23:02:06]
你可以想象成虛擬資金曲線在x/y軸進行平移,使得a/b點和x/y軸重合。也就是用一定量的資金就能達到“虛擬”的交易曲線的效果。
如何計算在某個區間提供虛擬資金池,先要從深入理解流動性開始。
流動性
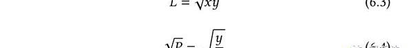
乘積固定的交易模型,滿足資金池中的兩種代幣金額滿足:x*y=K。如果設定K=L^2的話,x*y=L^2。L就是我們說的流動性。由乘積固定的交易模型得出如下的公式:

Bitwise推出DeFi指數基金 支持UNI AAVE等代幣:加密資產管理公司Bitwise今日宣布,已推出首只DeFi指數基金:Bitwise DeFi加密基金,該基金為合格投資者提供對DeFi代幣的敞口。該基金啟動時只有少量種子資產,每周兩次認購,該基金最初將包括Uniswap、Aave、Synthetix、Maker、 Compound、 UMA、Yearn.Finance、0x和Loopring。(TheBlock)[2021/2/17 17:24:50]
在已知L和sqrt(P)的情況下,也能推導出資金需求量x和y。

通過公式6.6,在流動性不變的情況下,流動性可以看成是單位“價格波動”的y資金量的變化。”價格波動“打上引號是因為事實上是sqrt(P)的變化。

這個是uniswapV3核心公式,用相對值來計算流動性。所謂的流動性,就是單位“價格變化”的資金量。在一定的交易量的情況下,如果流動性好,價格變化就小,流動性不夠的話,價格波動就大。

特別注意的是,一個區間上的流動性和V2的普適的流動性不同。一個區間上的流動性,重點在“區間上”。不同區間的流動性沒有可比性。V2的流動性和區間上的流動性的區別如下圖:
UNI 24小時資金凈流入4.84億元人民幣:金色財經監測數據顯示,加密貨幣市場24小時資金凈流入排名前三分別為[2021/1/25 13:22:25]

V2的流動性是“普適”的,在所有價格點上流動性相同。V3的流動性是由一系列不同區間上的流動性組成。相對來說,在當前價格左右的流動性比較高。流動性提供者LP只有提供了可供交易的流動性才能獲取交易費。為了獲取更多的交易費,為了提高資金的利用率,流動性提供者會將資金提供在合理的價格波動范圍內。也就是說,在某個區間swap交易產生的手續費,只有該區間流動性提供者才能獲取手續費。為了計算每個區間獲取的手續費,引入了Tick的概念和計算方法。
Tick
在區間上提供流動性,帶來很多復雜的情況:區間和區間的重疊覆蓋。因為不同區間的流動性沒有可比性,某個交易費并不能混入到流動資金中,等刪除流動性時候一并提取。為了解決這個問題,uniswapV3引入了Tick的概念。交易費用實時結算并單獨記錄,并不混入流動資金中。雖然整個區間和區間的流動性沒有可比性,但是,在具體的某個價格點上,流動性是可比較的。uniswapV3將整個價格范圍(負無窮到正無窮)分成一個個的Tick:

后一個價格點的價格是前一個價格點價格基礎上浮動萬分之一。

動態 | Qtum推出企業區塊鏈解決方案Unita:據Crypto Briefing消息,Qtum推出企業區塊鏈解決方案Unita。據稱,該全自動數據存儲和傳輸協議可以允許高達10000 TPS的交易吞吐量。[2019/4/19]
每個Tick也有一個唯一的序號。區間可以由兩個Tick表示。邏輯上交易手續費可以一個個的Tick計算,并在每一個Tick上根據流動性的占比進行交易分配。先看看一個Tick范圍的swap的計算。
Tick內的SWAP
假設有一個很小的量的y,需要swap為x。通過6.13的公式,可以計算出因為y的變化導致的價格變化。

再利用6.15的公式可以算出換取的x的量。

uniswapV3針對同樣的交易對設置了不同的交易費:0.05%,0.3%以及1%。如果是從Y換取X,則在換取之前先扣除手續費再進行上述的交換。
在同一交易池中只支持一種費率。也就是說,在一個交易池中支持不同的價格區間,但是都是同樣的費率。如果需要添加同樣交易對的不同交易費的交易池,必須創建新的交易池。
接下來,深入講解一下添加/刪除流動性以及交易費用的計算邏輯。
6
添加/刪除流動性
V3的添加/刪除流動性是當前價格情況下在某個區間添加或者刪除流動性。所有的流動性添加/刪除流動性采用如下的公式:

注意,價格變化并不是指區間的大小,而是在某個區間上提供流動性,相對當前價格,“需要相應資金變化”對應的價格變化。
分為三種情況,想要添加的流動性區間和當前價格的關系。
當前價格處于流動性價格區間(il<=ic<iu)

因為價格在區間范圍內,如果價格滑動到il,則需要提供y資金。如果價格滑動到iu,則需要提供相應的x資金。所以,對于delta_Y來說的,價格變化為sqrt(P)-sqrt(p(il));對于delta_X來說,價格變化為1/sqrt(P)-1/sqrt(p(iu))。
當前價格低于流動性價格區間

因為當前價格遠低于il,即使從當前價格向iu滑動,也只需要x的資金,不需要y的資金。所以,在這種情況下,delta_Y=0。因為從il滑向iu需要整個區間的x的資金,對于delta_X來說,價格變化為1/sqrt(il)-1/sqrt(p(iu))。
當前價格高于流動性價格區間
和第一種情況類似,不重復分析了。
7
Swap交易費用
uniswap最復雜的邏輯是計算交易費用并分配。在添加和刪除流動性之前需要將相應的交易費用提取。
Tick上的總流動性
???在某個Tick上可以存在多個區間。在計算交易費用時,需要平攤這些費用給所有在這個Tick上多個區間的總的流動性。在每個區間的邊界的Tick上記錄下delta_L。
???存在一個全局狀態:liquidity,保存當前價格對應Tick的流動性總和。當價格波動,穿過某個Tick時,會進行流動性的增加或者減少。舉例來說,價格從左到右穿過區間,當穿過區間的第一個Tick時,流動性需要增加,穿出最后一個Tick時,流動性需要減少,中間的Tick都沒有流動性的增加和減少。?

區間上的交易費用率
???計算一個區間上的交易費用率,采用總的費用率減去區間外的費用率的方法。在一個區間的邊界Tick上記錄feeGrowthOutside。所謂的feeGrowthOutside,就是“另外”一個方向上總的費用率。另外的一個方向是相對穿過當前Tick的方向而言。當價格從左到右穿過一個Tick,feeGrowthOutside指的是Tick左邊所有區間的費用率。簡單的說,就是價格要去方向的相反方向所有區間的費用率。feeGrowthOutside用fo表示。因為fo是一個Tick的兩個方向的總的費用率,兩個方向的費用率的總和肯定是等于fg。所以當穿過一個Tick時,這個Tick上的fo要進行翻轉:

當一個區間創建時,區間邊界上Tick的fo需要初始化:

如果當前的價格大于Tick的價格時,因為即使當前價格在設置的區間內,但是之前費用也不會分到,所以,可以簡單的假想為所有的費用發生在Tick價格之下,也就是fo=fg。如果Tick的價格大于當前價格,價格還沒有穿過Tick,因為假設了之前所有發生的費用發生在Tick價格之下,Tick之上是沒有費用的,所以fo=0。在理解了這些邏輯的基礎上,在swap的過程中,隨著價格的波動,一個區間上,超過最高Tick的費用率以及低于最低Tick的費用率可以用如下的方式計算:

以低于最低Tick的費用率的計算為例,如果ic>=i,低于Tick的所有的費用率就是fo。如果ic<i的情況下,fo記錄的是高于Tick的所有費用率,所以需要翻轉,即fg-fo。在獲取了一個區間外的所有費用的情況下,計算本區間的費用率:

獲取的費用率的基礎上,用費用率乘以區間的流動性可以計算出該區間收取的費用。
總結:
uniswapV3版本核心思想是流動性集中。流動性提供者可以在某個區間提供流動性,提高資金使用率。在某個區間獲取的交易費,由所有在該區間的流動性提供者均分。uniswapV3設計了區間粒度-Tick,并且推導了流動性添加/刪除以及費用計算的過程。在之基礎上,uniswapV3也更新了價格預言機的實現。
Tags:TICICKUNISWAPCORE MultiChain TokenDevious Licks GoldBunicorn Universal Rewarduniswap幣總量有多少
本教程將演示如何將Heco上的mdx轉到BSC上進行交易或參與挖礦。1、打開電腦錢包,先選擇HECO網絡。賬戶需要有相應幣種,和一定HT.
1900/1/1 0:00:00原標題:聚合流動性功能會給LP帶來哪些改變|UniswapV3新特性解析系列一作為DEX市場的絕對龍頭,Uniswap的V3版本一經發布就得到了市場的廣泛關注.
1900/1/1 0:00:00啟動六年后,或許今年四月份,Dfinity可以正式上線了。放言要重塑互聯網,打造全新第三代區塊鏈生態的Dfinity,如今的路線圖更專注于互聯網計算機(ICP)協議方向,鮮少再有以太坊競爭者或瘋.
1900/1/1 0:00:001、萬物皆可代幣化?或許合成資產是個入口2019-2020年去中心化金融熱潮席卷全球;2021年,一種全新的代幣NFT又火了一把.
1900/1/1 0:00:00財聯社訊,隨著比特幣再度創下歷史新高、首度突破6.3萬美元大關,加密貨幣交易所第一股Coinbase的首次公開募股今晚將重磅來襲.
1900/1/1 0:00:00金色財經現場報道,由金色財經主辦的“2021共為·創新大會”4月11日在上海舉行,本次大會以“DeFi的創新進階”為主題.
1900/1/1 0:00:00