BTC/HKD-0.04%
ETH/HKD-1.15%
LTC/HKD-2.08%
ADA/HKD-0.93%
SOL/HKD-1.03%
XRP/HKD-2.03%作者介紹:
0xmc@0xreviews:機制審計、產品設計、密碼經濟學獨立研究員。
0xjezex@0xreviews:代幣經濟學獨立研究員,初級Solidity工程師,倫敦帝國理工學院金融科技碩士生。
0xstan@0xreviews:獨立開發者,DappLearning核心貢獻者。
paco@perp.com:Solidity開發者、安全研究員、DeFi愛好者。
前言
Curve穩定幣最難的部分是LLAMMA。LLAMMA參考了Uniswapv3中的一些原則。但是,白皮書中的價格與Uniswapv3白皮書中的算法不同。我們將統一這兩個項目,并嘗試了解CurveCEO是如何設計這個演算法。
用Uniswapv3作為參考
本文中價格的定義與Uniswapv3互為倒數。因此,我們修改了Uniswapv3白皮書中的公式,讓它與本文保持一致。簡而言之,LLAMMA試圖讓Uniswapv3中的一切都變得動態,以便為crvUSD債務人和清算人提供更適當的價格。
恒定乘積公式(ConstantProductFomula)比較
Uniswapv3白皮書中的公式(2.2):

比特幣礦企HIVE Blockchain3月共產出282枚比特幣:4月17日消息,HIVE Blockchain3月共產出282枚比特幣,截至3月31日共持有2310枚比特幣。截至3月31日,HIVE Blockchain運行的總算力為3.36EH/s。[2023/4/17 14:08:45]

圖一:Uniswapv3虛擬流動模擬
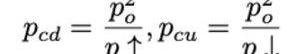
Curve穩定幣白皮書中的公式(1):


圖二:有外部價格來源的AMM
在這裡Pcd代表Pcurrent_down,Pcu代表Pcurrent_up
而對應關係為:

對應的恒定乘積公式為:
Tether與盧加諾市合作啟動Plan ?商業中心:金色財經報道,Tether 官方發文宣布與盧加諾市(Lugano)啟動 Plan ? 商業中心,以探索區塊鏈技術的潛力,因為它涉及加密貨幣在該地的商業、采用和長期使用。該中心將容納 300 多名區塊鏈專家和愛好者,并吸引人才、鼓勵網絡和知識共享。該中心還將舉辦聚會和研討會的休閑空間,以進一步促進教育和發展。此外,2023 年 10 月 20 日至 21 日,將于盧加諾市舉行 2023 年 Plan ? 論壇,重點關注加密貨幣和區塊鏈的采用。Tether 還將繼續其 Plan ? 暑期學校項目。[2023/3/3 12:41:06]

而在這之間:

流動性計算公式對應
Uniswapv3白皮書中的公式(6.7):

由于它們的價格定義之間存在倒數關係,對應的公式為:
Klaytn基金會將于2月28日公布KLAY代幣經濟模型與治理系統的新提案:金色財經報道,韓國區塊鏈平臺Klaytn主要開發者與代碼維護者之一Klayth基金會正在對Klaytn網絡治理系統與原生KLAY代幣的經濟模型進行更改。Klaytn基金會將與Klaytn治理委員會合作,幫助Klaytn區塊鏈過渡到完全無需許可的驗證者結構,為公眾提供作為區塊驗證者的參與的機會,并為Klaytn社區成員引入一個參與決策過程的溝通渠道。
此外,基金會將通過治理協議Klaytn Square實時披露治理委員會的鏈上投票議程和狀態,加強治理透明度。基金會將于本周初向治理委員會提交修改過的代幣經濟學提案,最終議程和提案將于2月28日與2023年的技術路線圖一起公布。(CoinDesk)[2023/2/20 12:16:48]

此公式的一個具體應用是:

平方展開可以得到:

派盾:又一套利者通過Ankr漏洞獲利約350萬美元,獲利資金已轉入幣安?:12月2日消息,安全公司派盾在推特上表示,一名社區貢獻者發現0x9bae開頭地址通過Ankr漏洞獲利約350萬美元,且已將獲利資金,約187萬枚Binance-Peg BUSD與163萬枚Binance-Peg USDC轉入幣安。
此前消息,0x8d11開頭的地址借助Ankr漏洞用10枚BNB換得1550萬枚BUSD。[2022/12/2 21:18:09]
從上面的公式我們很容易的可以了解,當y0保持不變,Pcd和Pcu數值越接近,相對應的流動性I則越大。
換句話說:

流動性不可能是無限的,在UniswapV3中對應最小的tick會限制L的大小。
由此可以推斷在LLAMMA中,我們還需要定義一個指標來衡量價格之間的最小差異,來繼續Uniswapv3和Curve的類推。
對應最小差價

從A的定義中可以看出?,當p↓和p↑越接近時,A則越大,流動性集中度越高:
趙長鵬:謹防LinkedIn上“Binance員工”欺詐:金色財經報道,Binance首席執行官趙長鵬在社交媒體發文稱,求職網站“領英” LinkedIn 上有 7000 個賬戶個人資料顯示為“Binance 員工”,但其中只有 50 個左右是真實的。趙長鵬表示希望 LinkedIn 有一個功能可以讓公司驗證人員的功能,并提醒大家希望 LinkedIn 有一個功能可以讓公司驗證人員。[2022/8/15 12:25:47]

Uniswapv3中,只有能被tickSpacing整除的tick才能被預設。因此,tickSpacing決定了LP分配流動性的最低價格范圍。tickSpacing越小,價格范圍越窄、越精確。在Uniswapv3中,不同的費用等級決定了不同的tickSpacing。
然而,crvUSDLLAMMA不需要那麼多tickSpacing。由于LLAMMA僅有ETH-crvUSD,因此只需要讓每一個tickSpacing=100basepoint。?
來自Uniswapv3的公式(6.1):

在LLAMMA中,A=100,來自Curve穩定幣白皮書的公式(11):

設置n=-i,A=100,我們會得到:

設計Pcd和Pcu
我們希望LLAMMA具有以下屬性:當ETH價格上漲時,礦池購買ETH。當ETH下跌時,礦池出售ETH。在這樣的機制下,我們把Pcd和Pcu定義為Po的函數并且比線性函數更陡峭,因此它們的增長率會比Po更快。同時從圖中可以看出兩條曲線Pcu和Pcd分別通過兩點(P↓,P↓)和(P↑,P↑)。滿足以上要求的Pcd和Pcu其實有很多曲線。通用公式為:

當m<n
讓我們從最簡單的例子開始:

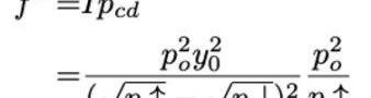
把Pcu和Pcd帶入I的平方展開:

然后f2可以計算為:

不難發現f2在這種假設下很難理解和計算。如果Pcu和Pcd是?Po的三次函數:

把Pcu和Pcd帶入I的平方展開:

重新計算f2:

可以看出,當?Pcu和Pcd是Po的三次函數,整個數學形式就簡單多了。去掉了平方根項,計算方便多了。如果接受更高的訂單,則AMM的價格和Po將相差很大,因此購買ETH的成本會更高,而導致更大的清算損失。總之,把Pcu和Pcd定義為Po的三次函數是一個更好的選擇。
其他參數的推導
Pcu和Pcd是關于Po的三次函數,取特別數值Po=P↑,不難得到Y=Y0和X=0,于是:

鑒于I的公式,我們可以計算f和g:

在這邊,我們最終得到完整的恒定乘積公式:

將上方公式轉化為Y0二次方程式:

用一個未知數的二次方程求解Y0:

如果價格變動的夠慢讓預言機價格Po完全有能力遵循它,給定X和Y,使用Uniswapv3的計算公式,是有可能計算出ETH的Y↑是多少或美元的X↓最終將處于的區間內:

參考出處:Adams,Hayden,etal."Uniswapv3core."Tech.rep.,Uniswap,Tech.Rep,2021fromhttps://uniswap.org/whitepaper-v3.pdfEgorov,Michael,andCurveFinance.Curvestablecoindesign.Technicalreport,CurveFinance,Tech.Rep,2022fromhttps://github.com/curvefi/curve-stablecoin/blob/master/doc/curve-stablecoin.pdf
Tags:UniswapUNISWAPCURuniswap幣賣出沒反應United Emirate CoinBSWAP幣RENBTCCURVE
@y2kfinance是一個在Arbitrum上基于穩定幣和錨定資產波動的對沖協議。它利用了巨災債券的概念,基于depeg去做對沖,是在大跌或fud穩定幣時一個很好用的對沖工具.
1900/1/1 0:00:00Nostr最近引起很多關注。獲得了Twitter前CEOJackDorsey的支持,客戶端Damus一度進入Applestore下載前十,注冊用戶據說已經超過一百萬.
1900/1/1 0:00:002月13日,紐約金融服務部命令穩定幣發行商Paxos停止發行更多BUSD,對此幣安已發布聲明稱Paxos將繼續管理該產品的贖回.
1900/1/1 0:00:00北京時間2月23日晚間,Coinbase?宣布將基于OPStack?推出以太坊Layer?2網絡?Base,這是一個安全、低成本、開發者友好的以太坊Layer?2?.
1900/1/1 0:00:002023年2月9日,以太坊開發人員齊聚一堂,召開第102次全核心開發者共識(ACDC)電話會議.
1900/1/1 0:00:00ChatGPT的火,已經從AI圈燒到了全球。自2022年11月推出后,這款強大的聊天機器人僅用60天月活過億,被《財富》認為是劃時代的產品,引微軟、谷歌等巨頭紛紛下場.
1900/1/1 0:00:00