BTC/HKD-7.19%
ETH/HKD-9.09%
LTC/HKD-9.71%
ADA/HKD-10.68%
SOL/HKD-9.17%
XRP/HKD-8.12%Curve穩定幣設計白皮書的中英文參照版本,加入一些輔助理解的中文注釋,也修正了一些原版的拼寫錯誤,供大家參考學習。
Subscribe
Overview
Thedesignofthestablecoinhasfewconcepts:lending-liquidatingammalgorithm(LLAMMA),PegKeeper,MonetaryPolicyarethemostimportantones.ButthemainideaisinLLAMMA:replacingliquidationswithaspecial-purposeAMM.
這個穩定幣的設計中有幾個概念是最重要的:借貸-清算AMM算法,PegKeeper,貨幣政策。但主要的設計點是在LLAMMA:用一個特殊用途的AMM代替傳統超額抵押借貸的清算流程。


Inthisdesign,ifsomeoneborrowsagainstcollateral,evenatliquidationthreshold,andthepriceofcollateraldipsandbounces-nosignificantlosshappen.Forexample,accordingtosimulationsusinghistoricdataforETH/USDsinceSep2017,ifoneleavestheCDPunattendedfor3daysandduringthistimethepricedropof10%belowtheliquidationthresholdhappened-only1%ofcollateralgetslost.
在這種設計中,如果有人用抵押品借款,即使是在清算閾值,抵押品的價格下跌后反彈--也不會發生明顯的損失。例如,根據自2017年9月以來使用ETH/USD的歷史數據進行的模擬,如果放著CDP無人看管3天,在此期間,價格下跌至低于清算價格10%的情況發生的話,也只有1%的抵押品被損失。
AMMforcontinuousliquidation/deliquidation(LLAMMA)
持續清算/無需清算的AMM
ThecoreideaofthestablecoindesignisLending-LiquidatingAMMAlgorithm.Theideaisthatitconvertsbetweencollateral(forexample,ETH)andthestablecoin(let’scallitUSDhere).Ifthepriceofcollateralishigh-auserhasdepositsallinETH,butasitgoeslower,itconvertstoUSD.ThisisverydifferentfromtraditionalAMMdesignswhereonehasUSDontopandETHonthebottominstead.
穩定幣設計的核心思想是Lending-LiquidatingAMM算法。這個想法是,它在抵押品和穩定幣之間進行轉換。如果抵押品的價格很高--用戶的存款都是ETH,但當價格降低時,它就會轉換為USD穩定幣。這與傳統的AMM設計有很大不同,傳統的AMM設計是將USD穩定幣放在上面,ETH放在下面。
以太坊自合并以來供應量減少超10萬枚:金色財經報道,Ultrasound.money數據顯示,以太坊自合并以來供應量減少超10萬枚,目前供應量減少為100134.11枚ETH。[2023/4/20 14:15:49]
Thebelowdescriptiondoesn’tserveasfullyself-consistentrigorousproofs.Alotofthat(especiallytheinvariant)areobtainedfromdimensionalconsiderations.Moreresearchmightberequiredtohaveafullmathematicaldescription,howeverthebelowisbelievedtobeenoughtoimplementinpractice.
下面的描述并不能作為一個完全自洽的嚴謹證明。很多東西都是從各種維度考慮得到的。要有一個完整的數學描述,可能需要更多的研究,然而下面的描述被認為足以支持在智能合約中實施。
Thisisonlypossiblewithanexternalpriceoracle.Inanutshell,ifonemakesatypicalAMM(forexamplewithabondingcurvebeingapieceofhyperbola)andrampsits“centerprice”from(forexample)downtoup,thetokenswilladiabaticallyconvertfrom(forexample)USDtoETHwhileprovingliquidityinbothwaysontheway(Fig.3).Itissomewhatsimilartoavoidedcrossing(alsocalledLandau-Zenertransition)inquantumphysics(thoughonlyasanidea:mathematicaldescriptionoftheprocesscouldbeverydifferent).Therangewheretheliquidityisconcentratediscalled?band?here,attheconstant?po?bandhasliquidityfrom?pcd?to?pcu.Weseekfor?pcd(po)and?pcu(po)beingfunctionsof?po?only,functionsbeingmoresteepthanlinearand,hence,growingfasterthan?po(Fig.4).Inaddition,let’sdefifineprices?p↓and?p↑?beingpriceswhere?p↓(po)=?po,and?p↑(po)=?po,definingendsofbandsinadiabaticlimit(e.g.?p?=?po).
這只有通過外部預言機喂價才能實現。簡而言之,如果一個人做了一個典型的AMM,并將其"中心價格"從下降到上升,代幣將從USD“絕熱”地轉換為ETH,同時在過程中提供兩種方式的流動性。這有點類似于量子物理學中的“回避交叉”。

流動性集中的范圍在這里被稱為“波段”,在恒定的po波段有從pcd到pcu的流動性。我們尋求pcd(po)和pcu(po)只作為po的函數,函數比線性更陡峭,因此,增長速度比po快。此外,讓我們把價格p↓和p↑定義為p↓(po)=po和p↑(po)=po的價格,定義為絕熱極限中的波段兩端。

Figure3:Behaviorofan“AMMwithanexternalpricesource”.Externalpricepcenterdeterminesapricearoundwhichliquidityisformed.AMMsupportsliquidityconcentratedfrompricespcdtopcu,pcd<pcenter<pcu.Whencurrentpricepisoutofrangebetweenpcdandpcu,AMMiseitherfullyinstablecoin(whenatpcu)orfullyincollateral(whenatpcd).Whenpcd≤p≤pcu,AMMpriceisequaltothecurrentpricep.圖3:"具有外部價格來源的AMM"的行為。外部價格pcenter決定了圍繞流動性形成的一個價格。AMM支持流動性集中在價格pcd到pcu之間,pcd<pcenter<pcu。當當前價格p超出pcd和pcu之間的范圍時,AMM要么完全進入穩定幣,要么完全進入抵押品。當pcd≤p≤pcu時,AMM價格等于當前價格p。
UMA與Snapshot合作推出基于鏈下投票決策進行鏈上交易的DAO工具oSnap:2月17日消息,去中心化金融合約平臺UMA與Snapshot合作推出一種基于鏈下投票決策進行鏈上交易的DAO工具oSnap,使用Snapshot和Safe以去中心化的方式執行DAO治理投票的結果,而無需特權簽名者的干預。
投票完成后,任何人都可以提交交易來實施提案。如果在爭議窗口期間對提案的準確性沒有爭議,交易將通過。[2023/2/17 12:12:57]

Figure4:AMMwhichwesearchfor.WeseektoconstructanAMMwherepcdandpcuaresuchfunctionsofpothatwhenpogrows,theygrowevenfaster.Inthiscase,thisAMMwillbeallinETHwhenETHisexpensive,andallinUSDwhenETHischeap.圖4:我們尋找的AMM。我們試圖構建一個AMM,其中pcd和pcu是po的函數,當po增長時,它們增長得更快。在這種情況下,當ETH昂貴時,這個AMM將全部轉換為ETH,而當ETH便宜時,全部轉換為USD。
Westartfromanumberofbandswhere,similarlytoUniswap3,hyperbolicshapeofthebondingcurveispreservedbyaddingvirtualbalances.Letsay,theamountofUSDis?x,andtheamountofETHis?y,thereforethe“amplifified”constant-productinvariantwouldbe:
我們從一些波段開始,與Uniswap3類似,通過增加“虛擬余額”,保留了粘合曲線的雙曲形狀。比方說,USD的數量是x,ETH的數量是y,因此"增強的"常數-產品不變性將是:

Thepropertywearelookingforissuchthathigherprice?po?shouldleadtoevenhigherpriceatthesamebalances,sothatthecurrentmarketprice(whichwill,onaverage,follow?po)islowerthanthat,andthebandwilltradetowardsbeingallinETH(andtheoppositeisalsotruefortheotherdirection).Itispossibletofindmanywaystosatisfythatbutweneedone:
我們正在尋找的屬性是這樣的:更高的價格po應該導致在相同的余額下更高的價格,因此,當前的市場價格低于這個價格,并且波段將朝著全部為ETH的方向交易。可以找到很多方法來滿足,但我們需要這樣一個:

where?y0isa?p0-dependentmeasureofdepositsinthecurrentband,denominatedinETH,defifinedinsuchawaythatwhencurrentprice?p,?p↑?and?po?areequaltoeachother,then?y?=?y0and?x?=0(seethepointat?po?=?p↑?onFig.4).Thenifwesubstitute?y?atthatmoment:
其中y0是一個與p0相關的衡量當前波段存款的指標,以ETH為單位,其定義是:當當前價格p、p↑和po相互相等時,則y=y0,x=0。那么,如果我們把那一刻的y替換掉:
ApeCoin新任特別委員會成員Veratheape:將推動DAO 2.0結構擴大APE生態:金色財經報道,在剛剛結束的 ApeCoin DAO 特別委員會成員選舉中,Veratheape 以 26.36% 的支持率成為新任三位委員之一,并于 1 月 1 日開始任期。在最新采訪中,Veratheape 表示將推動 DAO 2.0 結構、并利用黑客馬拉松和建立合作伙伴關系來擴大 APE 生態。Veratheape 說道:“建立生態系統是一個漫長的旅程,以太坊花了 4 年的時間才真正建立了生態系統,我想幫助解決透明度、DAO 參與和品牌重塑等問題,對我來說另一件重要的事情是 DAO 結構的改變,APE 生態應該擁有類似于 DAO 2.0 的結構。”[2023/1/1 22:19:56]

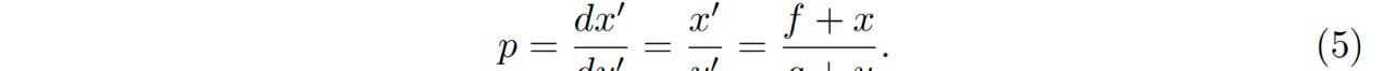
Priceisequalto?dx0/dy0?whichthenforaconstant-productinvariantis:
價格等于dx0/dy0,那么對于一個恒定的產品不變量來說,就是:

Onecansubstitutesituationswhere?po?=?p↑?or?po?=?p↓?with?x?=0or?y?=0correspndinglytoverifythattheaboveformulasareself-consistent.
我們可以用x=0或y=0來代替po=p↑或po=p↓的情況,以驗證上述公式是自洽的。
Typicallyforaband,weknow?p↑?and,hence,?p↓,?po,constant?A,andalso?x?and?y?(currentdepositsintheband).Tocalculateeverything,weneedtofind?yo.Itcanbefoundbysolvingthequadraticequationfortheinvariant:
通常對于一個波段,我們知道p↑,因此也知道p↓、po、常數A,還有x和y。為了計算剩下的一切,我們需要找到yo。它可以通過解決不變量的二次方程來找到:

whichturnsintothequadraticequationagainst?yo:
這就變成了針對yo的二次方程:

Inthesmartcontract,wesolvethisquadraticequationinget_y0function.
在智能合約中,我們在get_y0函數中解決這個二次方程。
Whileoracleprice?po?staysconstant,theAMMworksinanormalway,e.g.sellsETHwhengoingup/buysETHwhengoingdown.Bysimplysubstituting?x?=0forthe“currentdown”price?pcd?or?y?=0forthe“currentup”price?pcu?valuesintotheequationoftheinvariantrespectively,itispossibletoshowthatAMMpricesatthecurrentvalueof?po?andthecurrentvalueof?p↑?are:
在預言機價格po保持不變的情況下,AMM以正常的方式工作,例如,上漲時賣出ETH/下跌時買入ETH。通過簡單地將x=0替換為"當前下跌"的價格pcd或y=0替換為"當前上漲"的價格pcu值分別代入不變量方程,就可以說明在po的當前值和p↑的當前值下的AMM價格是:
BitKeep:已凍結部分黑客轉移資金,呼吁被盜用戶配合團隊調查:12月27日消息,多鏈錢包BitKeep發布公告稱,團隊正處理此次黑客劫持事件,目前取得進展是已凍結部分黑客轉移資金,將竭盡所能為大家追回資產,被盜用戶可直接在表單中填寫資料。希望受害用戶能積極配合官方在社群內發起的團隊調查,只有大家的配合才能順利推進被盜款項的追回。
金色財經此前報道,昨日多名用戶在BitKeep中文社區Telegarm群中反饋資產被盜。BitKeep發布公告稱,經過團隊初步排查,疑似部分APK包下載被黑客劫持,安裝了被黑客植入代碼的包,如用戶的資金出現被盜情況,下載或者更新的應用或許是被劫持的不明版本(非官方發布版本)。經BitKeep與慢霧、派盾等機構統計,本次事件被盜金額約為800萬美元。[2022/12/27 22:10:11]

WewillusetheseresultswhenevaluatingsafetyoftheloanaswellasthepotentiallossesoftheAMM.
在評估借貸的安全性以及AMM的潛在損失時,我們將使用這些結果。
Nowwehaveadescriptionofoneband.Wesplitallthepricespaceintobandswhichtoucheachotherwithprices?p↓?and?p↑?sothatifwesetabaseprice?pbase?andhaveabandnumber?n:
現在我們有了對一個波段的描述。我們把所有的價格空間分成若干波段,這些波段的價格p↓和p↑相互接觸,因此,如果我們設定一個基礎價格pbase,并有一個波段號n:

ItispossibletoprovethatthesolutionofEq.7andEq.5foranybandgives:
對于任何一個波段,可以證明公式7和公式5的解都可以得到:

whichshowsthattherearenogapsbetweenthebands.
這表明波段之間沒有空隙。
TradesoccurwhilepreservingtheinvariantfromEq.1,howeverthecurrentpriceinsidetheAMMshiftswhentheprice?po:itgoesupwhen?po?goesdownandviceversacubically,ascanbeseenfromEq.8.
交易發生的同時保留了公式1的不變性,然而,當價格為po時,AMM內部的當前價格會發生變化:當po下降時,它就會上升,反之亦然,從公式8可以看出。
LLAMMAvsStablecoin
??StablecoinisaCDPwhereoneborrowsstablecoinagainstavolatilecollateral(cryptocurrency,forexample,againstETH).ThecollateralisloadedintoLLAMMAinsuchapricerange(suchbands)thatifpriceofcollateralgoesdownrelativelyslowly,theETHgetsconvertedintoenoughstablecointocoverclosingtheCDP(whichcanhappenviaaself-liquidation,orviaanexternalliquidationifthecoverageistooclosetodangerouslimits,ornotcloseatallwhilewaitingforthepricebounce).
DeFi收益率市場Pendle集成Chainlink Automation以支持vePENDLE池投票:12月21日消息,DeFi收益率市場Pendle集成Chainlink Automation以支持vePENDLE池投票。Chainlink Automation可在達成指定條件(如特定資產到達特定價格)時自動喚醒智能合約。Pendle將借助Chainlink Automation觸發vePENDLE投票周期的最終投票。[2022/12/21 21:58:11]
穩定幣是一種CDP,人們以不穩定的抵押品來借入穩定幣。抵押品被加載到LLAMMA的價格范圍內,如果抵押品的價格下降相對緩慢,ETH被轉換成足夠的穩定幣來覆蓋關閉CDP。
Whenauserdepositscollateralandborrowsastablecoin,theLLAMMAsmartcontractcalculatesthebandswheretolocatethecollateral.?Whenthepriceofthecollateralchanges,itstartsgettingconvertedtothestablecoin.Whenthesystemis“underwater”,useralreadyhasenoughUSDtocovertheloan.Theamountofstablecoinswhichcanbeobtainedcanbecalculatedusingapublicget_x_downmethod.Ifitgivesvaluestooclosetotheliquidationthresholds-anexternalliquidatorcanbeinvolved(typicallyshouldn’thappenwithinafewdaysorevenweeksafterthecollateralpricewentdownandsideways,orevenwillnothappeneverifcollateralpricenevergoesuporgoesbackuprelativelyquickly).Ahealthmethodreturnsaratioofget_x_downtodebtplusthevalueincreaseincollateralwhenthepriceiswellabove“liquidation”.
當用戶存入抵押品并借入一個穩定幣時,LLAMMA智能合約會計算出抵押品所在的波段。當抵押品的價格變化時,它開始被轉換為穩定幣。當系統處于"水下"時,用戶已經有足夠的USD來支付貸款。可以獲得的穩定幣數量可以通過一個公共的get_x_down方法來計算。如果它給出的數值過于接近清算閾值--外部清算人可以參與進來。當價格遠高于"清算"時,一個健康的方法會返回get_x_down與債務的比率,再加上抵押品的價值增加。
Whenastablecoinchargesinterest,thisshouldbereflectedintheAMM,too.Thisisdonebyadjustingallthegridofprices.So,whenastablecoinchargesinterestrater,allthegridofpricesintheAMMshiftsupwardswiththesameraterwhichisdoneviaabase_pricemultiplier.So,themultipliergoesupovertimeaslongasthechargedrateispositive.
當一個穩定幣收取利息時,這應該反映在AMM中。也要反映出來。這是通過調整價格的所有網格來實現的。因此,當一個穩定幣收取利率r時,AMM中的所有價格格都會向上移動,與相同的利率r,這是通過一個基礎價格乘數完成的。所以,只要收取的利率是正的,乘數會隨著時間的推移而上升。
Whenwecalculateget_x_downorget_y_up,wearefirstlookingfortheamountsofstablecoinandcollateralx?andy?ifcurrentpricemovestothecurrentpricepo.Thenwelookathowmuchstablecoinorcollateralwegetifpoadiabaticallychangestoeitherthelowestpriceofthelowestband,orthehighestpriceofthehighestbandrespectively.Thisway,wecangetameasureofhowmuchstablecoinwewillwhichisnotdependentonthecurrentinstantaneousprice,whichisimportantforsandwichattackresistance.
當我們計算get_x_down或get_y_up時,我們首先要找的是如果當前價格移動到當前價格po的穩定幣和抵押品x?和y?的數量。然后我們看一下,如果po絕熱地變化到最低區間的最低價格,或最高區間的最高價格,我們分別得到多少穩定幣或抵押品。這樣,我們就可以得到一個衡量我們將獲得多少穩定幣的標準,它不依賴于當前的瞬時價格,這對夾層攻擊的阻力很重要。**
**
ItisimportanttopointoutthattheLLAMMAusespodefinedasETH/USDpriceasapricesource,andourstablecoincouldbetradedunderthepeg(ps<1)oroverpeg(ps>1).Ifps<1,thenpriceintheLLAMMAisp>po.
需要指出的是,LLAMMA使用定義為ETH/USD價格的po作為價格來源,我們的穩定幣可以在掛鉤之下或超過掛鉤進行交易。如果ps<1,那么LLAMMA中的價格就是p>po。
Inadiabaticapproximation,p=po/ps,andallthecollateral<>stablecoinconversionwouldhappenatahigheroracleprice/asiforaclepricewaslowerandequalto:
在絕熱近似中,p=po/ps,所有抵押品<>穩定幣的轉換將發生在較高的預言機價格上/就像預言機價格較低且等于:

Atthisprice,theamountofstablecoinsobtainedatconversionishigherbyfactorof1/ps(ifps<1).
在這個價格下,轉換時獲得的穩定幣的數量要高出1/ps的系數。
Itislessdesirabletohaveps>1forprolongedtimes,andforthatwewillusethestabilizer(seenext)
在長時間內,ps>1是不太理想的,為此我們將使用穩定器。
AutomaticStabilizerandMonetaryPolicy
自動穩定器和貨幣政策
When?ps>?1(forexample,becauseoftheincreaseddemandforstablecoin),thereispeg-keepingreserveformedbyanasymmetricdepositintoastableswapCurvepoolbetweenthestablecoinandaredeemablereferencecoinorLPtoken.Once?ps>?1,thePegKeepercontractisallowedtomintuncollateralizedstablecoinand(only!)depositittothestableswappoolsingle-sidedinsuchawaythatthefinalpriceafterthisisstillnolessthan1.When?ps<?1,thePegKeeperisallowedtowithdraw(asymmetrically)andburnthestablecoin.
當ps>1時,就會有錨定的儲備,由穩定幣和可贖回的參考幣或LP代幣之間的不對稱存款到stableswapCurve池形成。一旦ps>1,PegKeeper合約被允許鑄造無抵押的穩定幣,并且只將其單邊存入stableswap池,這樣做之后的最終價格仍然不低于1。當ps<1時,PegKeeper被允許提取并燒毀穩定幣。
Theseactionscauseprice?ps?toquicklydepreciatewhenit’shigherthan1andappreciateiflowerthan1becauseasymmetricdepositsandwithdrawalschangetheprice.Eventhoughthemintisuncollateralized,thestablecoinappearstobeimplicitlycollateralizedbyliquidityinthestablecoinpool.Thewholemint/burncycleappears,attheend,tobeprofitablewhileprovidingstability.
這些行為導致價格ps高于1時迅速貶值,低于1時升值,因為不對稱的存款和提款改變了價格。即使這部分“鑄幣”是沒有抵押的,但穩定幣似乎是由穩定幣池中的流動性隱性抵押支持的。整個鑄幣/燃燒周期在最后似乎是有利可圖的,同時提供了穩定性。
Let’sdenotetheamountofstablecoinmintedtothestabilizer(debt)as?dst?andthefunctionwhichcalculatesnecessaryamountofredeemableUSDtobuythestablecoininastableswapAMMget_dxas?fdx().Then,inordertokeepreservesnotverylarge,weusethe“slow”mechanismofstabilizationviavaryingtheborrow?r:
讓我們把鑄造給穩定器的穩定幣數量表示為dst,把計算在stableswapAMMget_dx中購買穩定幣所需的可贖回USD數量的函數表示為fdx。然后,為了保持“儲備”不是非常大,我們通過改變借款r來使用"緩慢"的穩定機制。

where?h?isthechangein?ps?atwhichtherate?r?changesbyfactorof2(higher?ps?leadstolower?r).Theamountofstabilizerdebt?dst?willequilibrateatdifferentvaluedependingontherateat?ps?=1?r0.Therefore,wecan(insteadofsettingmanually)bereducing?r0while?dst/supply?islargerthansometargetnumber(forexample,5%)(therebyincentivizingborrowerstoborrow-and-dumpthestablecoin,decreasingitspriceandforcingthesystemtoburnthe?dst)orincreasingifit’slower(therebyincentivizingborrowerstoreturnloansandpushing?ps?up,forcingthesystemtoincreasethedebt?dst?andthestabilizerdeposits).
其中h是ps的變化,速率r的變化為2倍。穩定器債務dst的數量將根據ps=1r0的速率在不同的值上平衡。因此,我們可以在dst/supply大于某個目標數字時減少r0,或者在它較低時增加。
Conclusion/總結
Thepresentedmechanismscan,hopefully,solvetheriskinessofliquidationsforstablecoin-makingandborrowingpurposes.Inaddition,stabilizerandautomaticmonetarypolicymechanismscanhelpwithpeg-keepingwithouttheneedofkeepingoverlybigPSMs.
希望所提出的機制能夠解決為制造穩定幣和借貸目的而進行清算的風險性。此外,穩定器和自動貨幣政策機制可以幫助保持價格錨定,而不需要保持過大的PSM。
FTX崩潰之后,SBF首次接受語音專訪,AutismCapital擇要整理了20個點,MarsBit編譯整理如下:一“我什至不知道我們的系統是如何運作的。當然不存在什么后門.
1900/1/1 0:00:00大多數Web3游戲的營銷方式都是錯誤的。如能做出以下這些改變,你會大大增加營銷成功幾率。Web3游戲在其目前的狀態下,更多的是投資者而不是游戲玩家,在Web3中,可滿足的游戲玩家市場總量實際上是.
1900/1/1 0:00:00先上圖 總的來說,就是資產交給別人保管,和不交的區別放交易所顯然是交給交易所保管。早些年經常有黑客光顧,暴雷了一批,現在的交易所大多升級了安全措施,黑客不再是問題,問題是再好的技術防御也抵不住人.
1900/1/1 0:00:00一、過去一周行業發生重要事件 1.產業 數據:WBTC月供應量降幅達12.57%,總供應量回到2021年9月水平DuneAnalytics數據顯示.
1900/1/1 0:00:00注:本文來自@Btman_Jeff推特,其探討了DCG跟genesis的風險還沒有完全解除的疑點。盡管沒有進一步的證據,但是我認為DCG跟genesis的風險還沒有完全解除,說一下幾個疑點.
1900/1/1 0:00:00熊市躺平之余,終究忍不住想build一下,不會寫代碼,就寫寫文章吧。為什么要寫mfers呢,因為mfers是我的第一個nft,就像初戀,人生至美是初見.
1900/1/1 0:00:00